Foram encontradas 340 questões.
Provas
Provas
Provas
Com base na Lei Orgânica do Município de Arapiraca, a Câmara Municipal de Arapiraca é composta de:
Provas
Provas
Provas
Provas
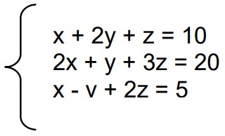
Em um laboratório químico, três substâncias A, B e C são misturadas para formar diferentes soluções experimentais. As quantidades x, y e z (em litros) de cada substância devem satisfazer o seguinte sistema linear:

Sabendo que o determinante da matriz dos coeficientes (D) é utilizado para verificar a existência e unicidade da solução, é correto afirmar que o sistema:
Provas
ESCOLA, ENSINO DE LÍNGUA, LETRAMENTO E CONHECIMENTO
A língua não é um hábito que se exercita, nem um jogo em que se entra e sai, nem tampouco uma roupa que se veste conforme a ocasião, apropriada ou inapropriada. É uma totalidade que, constituída na história humana, constitui os sujeitos, é marca de identidade, condição de pensamento, forma fundamental de relacionamento e de intervenção no mundo. Independentemente de qual seja a base biológica em que se sustenta a linguagem humana, seja admitindo-se um fundamento genético específico, seja reconhecendo a capacidade simbólica humana consequente do desenvolvimento cerebral, o fato é que a língua é um fenômeno de ordem histórica e, como tal, realiza-se e produz-se em função da ação humana, do trabalho humano.
Devemos sempre considerar, ao refletir sobre as formas de ser e os usos da língua, que ela é, acima de tudo, expressão de identidades: identidades de grupos, de nações, países ou regiões (de onde surge o conceito de língua ou línguas nacionais), de países, de comunidades de países, de localidades e, também e de forma muito significativa, de indivíduos. Evidentemente, não se postula nenhum processo “natural”, mas sim um movimento histórico, que se submete a múltiplas funções e é objeto de constante disputa. As identidades são produções histórico-sociais e pertencem ao humano genérico.
Daí as limitações das percepções dicotômicas da língua que se constituíram na tradição dos estudos linguísticos e dos modelos pedagógicos de ensino de língua materna. Assim é que se estabeleceram, sempre em pares excludentes, paradigmas avaliativos ou descritivos dos usos e definições linguísticas, tais como próprio e impróprio, adequado e inadequado, forma culta e popular, registro formal e informal, língua padrão e não padrão, falar (ou escrever) certo e errado, modalidade escrita e oral, entre tantas outras oposições simplificadoras. Não se trata de afirmar que tais formas de apreensão do fenômeno linguístico são ilegítimas ou mero equívoco teórico. Pelo contrário, é preciso considerá-las como resultado dos focos de interesse que se manifestam nas formas como se realiza a luta pelo poder.
Por isso faz todo sentido afirmar que língua é poder. O domínio sobre a linguagem, mais exatamente sobre seus usos, produzindo e legitimando determinadas formas como ela se realiza, pelo estabelecimento de uma legislação linguística (gramáticas, normas, gêneros, regras) e de valores arbitrários por meio da publicidade deste ou daquele registro é uma forma de poder. E um poder particularmente relevante na medida em que tanto o conhecimento formal como as formas de normatização da vida e de produção se concretizam na linguagem, em particular nas formas de escrita. Bourdieu (1998) captou com precisão essa ideia quando formulou o conceito de língua legítima, isto é, aquela que, para um determinado Estado, aparece como a única língua que expressa o poder e que é (e assim deve ser) muito mais reconhecida do que conhecida.
O preconceito linguístico sustenta-se no reconhecimento desta língua legítima e na reprodução contínua de estereótipos de cultura e de incultura e na divulgação sistemática de um modelo regulador e corretivo, de caráter basicamente estilístico, cuja finalidade, mesmo que não afirmada e até negada, está em fazer crer que o suposto domínio deste modo de usar a língua (o que é praticamente impossível, não estando o sujeito inserido no lugar social em que este falar se realiza) traz sucesso social. Mais que isso, se naturaliza um estilo como original e se marcam os demais como desvios ou atrasos e, neste sentido, ameaça à integridade social. Deste fato (porque tal imagem se constitui como fato social, mesmo que se fundamente numa crença) se aproveitam pretensos especialistas que mantêm espaços didáticos regulares em jornais, revistas e programas de tevê; mas também, infelizmente, tendo interiorizado esta lógica e reconhecendo-a como verdade insuspeita, atuam nesta direção educadores sérios e dedicados. Esta forma de compreender a questão da linguagem é motivo de intenso debate pedagógico em que se indaga não apenas como a escola deve ensinar a língua materna, mas também o que tem a ensinar. Infelizmente, este debate raramente abandona o referencial normativo e, preso às concepções dicotômicas, desconsidera a questão central, a saber, aquela que diz respeito ao conhecimento [...]
A posição que cabe sustentar não é a de que o ensino da língua legítima é democrático (visão monolítica de cunho autoritário) nem a de que cada um sabe do seu jeito e que não há o que aprender no que tange à linguagem (conceito que só se sustenta por um culturalismo idealista). Assumiremos por enquanto que “o papel da escola deve ser o de garantir ao aluno o acesso à escrita e aos discursos que se organizam a partir dela” (Britto, 1997). Isto porque a aprendizagem da escrita e dos conteúdos que se veiculam por ela é central na formação dos sujeitos e não se realiza senão através do exercício sistemático e reflexivo.
De fato, a escrita é um instrumento poderoso, cuja principal característica – mas certamente não a única – é a de permitir a expansão da memória, que passa a situar-se fora dos indivíduos, o que, por sua vez, permite a produção de formas de pensamento descontextualizado e a monitoração continuada de ações e atividades intelectuais. Durante muito tempo, ela foi o único recurso desta natureza (hoje existem vários, como a gravação em áudio e vídeo, a fotografia, os arquivos eletrônicos). A expansão da memória oferece aos indivíduos e aos grupos sociais maior capacidade de pensamento, porque permite esquecer sem esquecer, uma vez que não é preciso guardar na mente todas as informações, mensagens, ideias, raciocínios. Armazenando e registrando a informação fora do corpo físico, mas ao alcance dos interessados, a escrita teve papel fundamental no desenvolvimento da ciência, da filosofia, das leis, das artes etc.
Contrariamente ao que costuma repercutir o senso comum, a escrita não tem, nem teve em sua origem, como função primordial a comunicação. De fato, ela foi produzida principalmente em função da necessidade do registro da propriedade e do controle do fluxo de mercadorias e se desenvolveu na medida em que a sociedade de classes, centrada na apropriação da riqueza por uma das classes e pelo poder que esta classe exercia sobre o conjunto da sociedade, se expandiu. Há, portanto, um vínculo estrito entre a escrita e as formas de poder e de apropriação dos bens simbólicos produzidos na própria cultura escrita. E isto não é de se estranhar quando se considera uma ordem social em que a apropriação desigual da produção é essencial. Como ocorre com qualquer outra técnica, a posse da escrita, na sociedade de classes, está desigualmente distribuída.
Até este momento da exposição, considerei a língua e a escrita como objetos em si, descolados de outras dimensões do conhecimento e das práticas humanas, conforme se costuma fazer nas reflexões oriundas na área da linguagem. Contudo, e esta é a tese fundamental que sustenta meu posicionamento atual, tal separação tem trazido significativos malentendidos e prejuízos, senão para os estudos da linguagem, pelos menos para a educação em sentido amplo.
Para dar segmento a este raciocínio, tomo em consideração o conceito de letramento, que se vulgarizou dos anos noventa cara cá nos estudos de escrita, educação linguística e propostas de educação escolar. Para tanto, retomo aqui a defesa de Kato (1986), a primeira autora a usar o termo no Brasil, sobre a função da escola: “A função da escola é introduzir a criança no mundo da escrita, tornando um cidadão funcionalmente letrado, isto é, um sujeito capaz de fazer uso da linguagem escrita para sua necessidade individual de crescer cognitivamente e para atender às várias demandas de uma sociedade que prestigia esse tipo de linguagem como um dos instrumentos de comunicação. A chamada norma-padrão, ou língua falada culta, é consequência do letramento, motivo por que, indiretamente, é função da escola desenvolver no aluno o domínio da linguagem falada institucionalmente aceita.”
A ideia de um mundo da escrita apareceu em função das análises dos gêneros da escrita e da relação que se estabelece entre eles e o conhecimento. Nos textos escritos, as frases podem ser mais longas e complexas e apresentar maior diversidade de palavras. As formas de organizar o enunciado se definem com outros critérios, diferentes das formas próprias da fala. Na fala são elementos essenciais o tempo e o ritmo, a repetição e a ênfase sonora como recursos para organizar o que dizemos. O ouvinte serve de orientação para que a falante se explique, se corrija, tome um novo ritmo, fale com maior ou menor intensidade. Ao escrever, organiza-se o texto em períodos, parágrafos, capítulos, partes.
Além disso, a escrita favorece maior percepção da língua e a fixação de suas formas. Por permanecer presente diante daquele que a vê, permite que um texto possa ser revisto tantas vezes quantas o autor quiser e que o leitor possa retomar qualquer ponto do texto. Graças a essa possibilidade se estabeleceram conceitos, como o de palavra e de fonema, desenvolveram-se teorias para explicar a língua, seu funcionamento e sua relação com o pensamento, produziram-se dicionários e gramáticas. Outro aspecto relevante da escrita é a bidimensionalidade, em oposição ao caráter linear da fala, o que permite a construção de quadros, tabelas, esquemas e mapas, que, por sua vez, permitem outras formas de apreensão e representação do real. Também se associam à escrita diversas atividades intelectuais e sociais (literatura, filosofia, ciência, direito), além de produtos culturais materiais. A tais atividades e produtos se vinculam muitas profissões (a de escrever, a de ensinar, o jornalismo, o trabalho de edição e revisão de textos, a indústria gráfica e, mais recentemente, a eletrônica).
Como vemos, a ideia de um mundo da escrita diz respeito às formas de organização da sociedade e do desenvolvimento do conhecimento. É certo que a língua ganhou novas conformações e estruturas neste processo, mas não há como imaginar que seja possível aprender esta escrita sem conhecer os conteúdos que a ela se associam e, portanto, entrar neste mundo da escrita é, de fato, entrar no mundo do conhecimento.
Equivoca-se a autora quando estabelece a equivalência entre “introduzir a criança no mundo da escrita” e “torná-la um cidadão funcionalmente letrado”, porque a ideia de alfabetismo funcional implica não o domínio das formas superiores de conhecimento, mas a possibilidade de usar a escrita para as tarefas de cotidiano, as quais se relacionam com situações próprias do contexto imediato [...]
Kato também deriva norma-padrão do conceito de letramento. Se é fato que a atividade normativa no âmbito da linguagem se desenvolveu enormemente com a escrita, isto não significa que haja correspondência estrita entre o conhecimento dos conteúdos veiculados pela escrita e o domínio de regras de uso e de um determinado estilo. Menos ainda se pode dizer que a norma-padrão (que seria uma espécie de cânone estabelecido pelos mecanismos de controle linguísticos) se equivalha à língua falada culta, que é a manifestação de oralidade de um segmento social. Tais confusões decorrem de uma percepção acrítica das questões políticosociais no plano da linguagem e fortalecem o preconceito e o normativismo. Esta postura fica evidente quando a autora sustenta que tal forma de linguagem é “a institucionalmente aceita”, como se isso fosse da natureza humana e não da história. A defesa do que se chama norma culta, como expressão de uma linguagem elaborada e “correta”, está diretamente relacionada com a reprodução da língua legítima e das relações de poderes em que ela se encerra, pouco se relacionando com o desenvolvimento intelectual e com o conhecimento formal (ver, a respeito, BRITTO, 1977; 2003).
BOURDIEU, P. A economia das trocas linguísticas. São Paulo: Edusp., 1998.
BRITTO, L. P. L. Contra o consenso: cultura escrita, educação e participação. Campinas: Mercado de Letras, 2003
BRITTO, L. P. L. A sombra do caos: ensino de língua x tradição gramatical. Campinas: Mercado de Letras / ALB, 1997.
KATO, M. A. No mundo da escrita: uma perspectiva psicolinguística. São Paulo, Ática, 1986.
LUIZ PERCIVAL LEME BRITTO
Adaptado de Calidoscópio, Porto Alegre, vol. 5, nº 1, jan./abr, 2007 [excerto adaptado].
Ao final do texto, a indicação das referências teóricas do autor é um elemento composicional do gênero de discurso artigo acadêmico.
Essa indicação pode ser compreendida como a explicitação do processo de constituição da linguagem humana denominado:
Provas
ESCOLA, ENSINO DE LÍNGUA, LETRAMENTO E CONHECIMENTO
A língua não é um hábito que se exercita, nem um jogo em que se entra e sai, nem tampouco uma roupa que se veste conforme a ocasião, apropriada ou inapropriada. É uma totalidade que, constituída na história humana, constitui os sujeitos, é marca de identidade, condição de pensamento, forma fundamental de relacionamento e de intervenção no mundo. Independentemente de qual seja a base biológica em que se sustenta a linguagem humana, seja admitindo-se um fundamento genético específico, seja reconhecendo a capacidade simbólica humana consequente do desenvolvimento cerebral, o fato é que a língua é um fenômeno de ordem histórica e, como tal, realiza-se e produz-se em função da ação humana, do trabalho humano.
Devemos sempre considerar, ao refletir sobre as formas de ser e os usos da língua, que ela é, acima de tudo, expressão de identidades: identidades de grupos, de nações, países ou regiões (de onde surge o conceito de língua ou línguas nacionais), de países, de comunidades de países, de localidades e, também e de forma muito significativa, de indivíduos. Evidentemente, não se postula nenhum processo “natural”, mas sim um movimento histórico, que se submete a múltiplas funções e é objeto de constante disputa. As identidades são produções histórico-sociais e pertencem ao humano genérico.
Daí as limitações das percepções dicotômicas da língua que se constituíram na tradição dos estudos linguísticos e dos modelos pedagógicos de ensino de língua materna. Assim é que se estabeleceram, sempre em pares excludentes, paradigmas avaliativos ou descritivos dos usos e definições linguísticas, tais como próprio e impróprio, adequado e inadequado, forma culta e popular, registro formal e informal, língua padrão e não padrão, falar (ou escrever) certo e errado, modalidade escrita e oral, entre tantas outras oposições simplificadoras. Não se trata de afirmar que tais formas de apreensão do fenômeno linguístico são ilegítimas ou mero equívoco teórico. Pelo contrário, é preciso considerá-las como resultado dos focos de interesse que se manifestam nas formas como se realiza a luta pelo poder.
Por isso faz todo sentido afirmar que língua é poder. O domínio sobre a linguagem, mais exatamente sobre seus usos, produzindo e legitimando determinadas formas como ela se realiza, pelo estabelecimento de uma legislação linguística (gramáticas, normas, gêneros, regras) e de valores arbitrários por meio da publicidade deste ou daquele registro é uma forma de poder. E um poder particularmente relevante na medida em que tanto o conhecimento formal como as formas de normatização da vida e de produção se concretizam na linguagem, em particular nas formas de escrita. Bourdieu (1998) captou com precisão essa ideia quando formulou o conceito de língua legítima, isto é, aquela que, para um determinado Estado, aparece como a única língua que expressa o poder e que é (e assim deve ser) muito mais reconhecida do que conhecida.
O preconceito linguístico sustenta-se no reconhecimento desta língua legítima e na reprodução contínua de estereótipos de cultura e de incultura e na divulgação sistemática de um modelo regulador e corretivo, de caráter basicamente estilístico, cuja finalidade, mesmo que não afirmada e até negada, está em fazer crer que o suposto domínio deste modo de usar a língua (o que é praticamente impossível, não estando o sujeito inserido no lugar social em que este falar se realiza) traz sucesso social. Mais que isso, se naturaliza um estilo como original e se marcam os demais como desvios ou atrasos e, neste sentido, ameaça à integridade social. Deste fato (porque tal imagem se constitui como fato social, mesmo que se fundamente numa crença) se aproveitam pretensos especialistas que mantêm espaços didáticos regulares em jornais, revistas e programas de tevê; mas também, infelizmente, tendo interiorizado esta lógica e reconhecendo-a como verdade insuspeita, atuam nesta direção educadores sérios e dedicados. Esta forma de compreender a questão da linguagem é motivo de intenso debate pedagógico em que se indaga não apenas como a escola deve ensinar a língua materna, mas também o que tem a ensinar. Infelizmente, este debate raramente abandona o referencial normativo e, preso às concepções dicotômicas, desconsidera a questão central, a saber, aquela que diz respeito ao conhecimento [...]
A posição que cabe sustentar não é a de que o ensino da língua legítima é democrático (visão monolítica de cunho autoritário) nem a de que cada um sabe do seu jeito e que não há o que aprender no que tange à linguagem (conceito que só se sustenta por um culturalismo idealista). Assumiremos por enquanto que “o papel da escola deve ser o de garantir ao aluno o acesso à escrita e aos discursos que se organizam a partir dela” (Britto, 1997). Isto porque a aprendizagem da escrita e dos conteúdos que se veiculam por ela é central na formação dos sujeitos e não se realiza senão através do exercício sistemático e reflexivo.
De fato, a escrita é um instrumento poderoso, cuja principal característica – mas certamente não a única – é a de permitir a expansão da memória, que passa a situar-se fora dos indivíduos, o que, por sua vez, permite a produção de formas de pensamento descontextualizado e a monitoração continuada de ações e atividades intelectuais. Durante muito tempo, ela foi o único recurso desta natureza (hoje existem vários, como a gravação em áudio e vídeo, a fotografia, os arquivos eletrônicos). A expansão da memória oferece aos indivíduos e aos grupos sociais maior capacidade de pensamento, porque permite esquecer sem esquecer, uma vez que não é preciso guardar na mente todas as informações, mensagens, ideias, raciocínios. Armazenando e registrando a informação fora do corpo físico, mas ao alcance dos interessados, a escrita teve papel fundamental no desenvolvimento da ciência, da filosofia, das leis, das artes etc.
Contrariamente ao que costuma repercutir o senso comum, a escrita não tem, nem teve em sua origem, como função primordial a comunicação. De fato, ela foi produzida principalmente em função da necessidade do registro da propriedade e do controle do fluxo de mercadorias e se desenvolveu na medida em que a sociedade de classes, centrada na apropriação da riqueza por uma das classes e pelo poder que esta classe exercia sobre o conjunto da sociedade, se expandiu. Há, portanto, um vínculo estrito entre a escrita e as formas de poder e de apropriação dos bens simbólicos produzidos na própria cultura escrita. E isto não é de se estranhar quando se considera uma ordem social em que a apropriação desigual da produção é essencial. Como ocorre com qualquer outra técnica, a posse da escrita, na sociedade de classes, está desigualmente distribuída.
Até este momento da exposição, considerei a língua e a escrita como objetos em si, descolados de outras dimensões do conhecimento e das práticas humanas, conforme se costuma fazer nas reflexões oriundas na área da linguagem. Contudo, e esta é a tese fundamental que sustenta meu posicionamento atual, tal separação tem trazido significativos malentendidos e prejuízos, senão para os estudos da linguagem, pelos menos para a educação em sentido amplo.
Para dar segmento a este raciocínio, tomo em consideração o conceito de letramento, que se vulgarizou dos anos noventa cara cá nos estudos de escrita, educação linguística e propostas de educação escolar. Para tanto, retomo aqui a defesa de Kato (1986), a primeira autora a usar o termo no Brasil, sobre a função da escola: “A função da escola é introduzir a criança no mundo da escrita, tornando um cidadão funcionalmente letrado, isto é, um sujeito capaz de fazer uso da linguagem escrita para sua necessidade individual de crescer cognitivamente e para atender às várias demandas de uma sociedade que prestigia esse tipo de linguagem como um dos instrumentos de comunicação. A chamada norma-padrão, ou língua falada culta, é consequência do letramento, motivo por que, indiretamente, é função da escola desenvolver no aluno o domínio da linguagem falada institucionalmente aceita.”
A ideia de um mundo da escrita apareceu em função das análises dos gêneros da escrita e da relação que se estabelece entre eles e o conhecimento. Nos textos escritos, as frases podem ser mais longas e complexas e apresentar maior diversidade de palavras. As formas de organizar o enunciado se definem com outros critérios, diferentes das formas próprias da fala. Na fala são elementos essenciais o tempo e o ritmo, a repetição e a ênfase sonora como recursos para organizar o que dizemos. O ouvinte serve de orientação para que a falante se explique, se corrija, tome um novo ritmo, fale com maior ou menor intensidade. Ao escrever, organiza-se o texto em períodos, parágrafos, capítulos, partes.
Além disso, a escrita favorece maior percepção da língua e a fixação de suas formas. Por permanecer presente diante daquele que a vê, permite que um texto possa ser revisto tantas vezes quantas o autor quiser e que o leitor possa retomar qualquer ponto do texto. Graças a essa possibilidade se estabeleceram conceitos, como o de palavra e de fonema, desenvolveram-se teorias para explicar a língua, seu funcionamento e sua relação com o pensamento, produziram-se dicionários e gramáticas. Outro aspecto relevante da escrita é a bidimensionalidade, em oposição ao caráter linear da fala, o que permite a construção de quadros, tabelas, esquemas e mapas, que, por sua vez, permitem outras formas de apreensão e representação do real. Também se associam à escrita diversas atividades intelectuais e sociais (literatura, filosofia, ciência, direito), além de produtos culturais materiais. A tais atividades e produtos se vinculam muitas profissões (a de escrever, a de ensinar, o jornalismo, o trabalho de edição e revisão de textos, a indústria gráfica e, mais recentemente, a eletrônica).
Como vemos, a ideia de um mundo da escrita diz respeito às formas de organização da sociedade e do desenvolvimento do conhecimento. É certo que a língua ganhou novas conformações e estruturas neste processo, mas não há como imaginar que seja possível aprender esta escrita sem conhecer os conteúdos que a ela se associam e, portanto, entrar neste mundo da escrita é, de fato, entrar no mundo do conhecimento.
Equivoca-se a autora quando estabelece a equivalência entre “introduzir a criança no mundo da escrita” e “torná-la um cidadão funcionalmente letrado”, porque a ideia de alfabetismo funcional implica não o domínio das formas superiores de conhecimento, mas a possibilidade de usar a escrita para as tarefas de cotidiano, as quais se relacionam com situações próprias do contexto imediato [...]
Kato também deriva norma-padrão do conceito de letramento. Se é fato que a atividade normativa no âmbito da linguagem se desenvolveu enormemente com a escrita, isto não significa que haja correspondência estrita entre o conhecimento dos conteúdos veiculados pela escrita e o domínio de regras de uso e de um determinado estilo. Menos ainda se pode dizer que a norma-padrão (que seria uma espécie de cânone estabelecido pelos mecanismos de controle linguísticos) se equivalha à língua falada culta, que é a manifestação de oralidade de um segmento social. Tais confusões decorrem de uma percepção acrítica das questões políticosociais no plano da linguagem e fortalecem o preconceito e o normativismo. Esta postura fica evidente quando a autora sustenta que tal forma de linguagem é “a institucionalmente aceita”, como se isso fosse da natureza humana e não da história. A defesa do que se chama norma culta, como expressão de uma linguagem elaborada e “correta”, está diretamente relacionada com a reprodução da língua legítima e das relações de poderes em que ela se encerra, pouco se relacionando com o desenvolvimento intelectual e com o conhecimento formal (ver, a respeito, BRITTO, 1977; 2003).
BOURDIEU, P. A economia das trocas linguísticas. São Paulo: Edusp., 1998.
BRITTO, L. P. L. Contra o consenso: cultura escrita, educação e participação. Campinas: Mercado de Letras, 2003
BRITTO, L. P. L. A sombra do caos: ensino de língua x tradição gramatical. Campinas: Mercado de Letras / ALB, 1997.
KATO, M. A. No mundo da escrita: uma perspectiva psicolinguística. São Paulo, Ática, 1986.
LUIZ PERCIVAL LEME BRITTO
Adaptado de Calidoscópio, Porto Alegre, vol. 5, nº 1, jan./abr, 2007 [excerto adaptado].
Considere o trecho a seguir para responder à questão.
“[1]Se é fato [2]que a atividade normativa no âmbito da linguagem se desenvolveu enormemente com a escrita, isto não significa [3]que haja correspondência estrita entre o conhecimento dos conteúdos veiculados pela escrita e o domínio de regras de uso e de um determinado estilo.” (15º parágrafo)
As orações destacadas em [1] e [2] são classificadas como subordinadas substantivas do seguinte tipo:
Provas
Caderno Container