Foram encontradas 40 questões.
Carla é design de interiores e, em um dos seus projetos, deseja colocar 3 vasos em forma de paralelepípedo. Esses vasos terão 60 cm de largura, 0,30 m de comprimento e 50 cm de altura. Considerando que 80% dos vasos serão preenchidos de terra, qual será o volume total de terra que Carla usará?
Provas
Questão presente nas seguintes provas
Julian tem um salário de R$ 5.400,00. Ele aplicou 1/3 do seu salário durante 5 meses
a juros simples de 2% ao mês. O valor dos juros resultantes dessa aplicação foi de:
Provas
Questão presente nas seguintes provas
Considerando que:
A = valor do mínimo múltiplo comum entre os números 12 e 6.
B = maior divisor natural do número 30.
C = máximo divisor comum entre os números 40 e 35.
O valor de 2.C – (B.A) + A – (B : C) é igual a:
A = valor do mínimo múltiplo comum entre os números 12 e 6.
B = maior divisor natural do número 30.
C = máximo divisor comum entre os números 40 e 35.
O valor de 2.C – (B.A) + A – (B : C) é igual a:
Provas
Questão presente nas seguintes provas
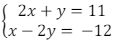
Considerando o sistema de equação de 1º grau a seguir, é correto afirmar que x3 – 4y é igual a:
![]()
Provas
Questão presente nas seguintes provas
- Lógica ProposicionalEquivalências Lógicas
- Lógica ProposicionalNegação de Proposições CompostasLeis de De Morgan
A negação da proposição “Ana não é animada e Pedro é casado” é:
Provas
Questão presente nas seguintes provas
3253833
Ano: 2024
Disciplina: Direito Constitucional
Banca: FUNDATEC
Orgão: Pref. Alegria-RS
Disciplina: Direito Constitucional
Banca: FUNDATEC
Orgão: Pref. Alegria-RS
Provas:
A Constituição Federal de 1988, ao tratar dos direitos sociais, afirma que é assegurado
o direito de greve, competindo ______________ decidir sobre a oportunidade de exercê-lo e sobre
os(as) ___________ que devam por meio dele defender.
Assinale a alternativa que preenche, correta e respectivamente, as lacunas do trecho acima.
Assinale a alternativa que preenche, correta e respectivamente, as lacunas do trecho acima.
Provas
Questão presente nas seguintes provas
3253832
Ano: 2024
Disciplina: Direito Constitucional
Banca: FUNDATEC
Orgão: Pref. Alegria-RS
Disciplina: Direito Constitucional
Banca: FUNDATEC
Orgão: Pref. Alegria-RS
Provas:
- Teoria Geral da ConstituiçãoPrincípios, Regras e PostuladosPrincípios de Direito Constitucional Internacional
- Princípios Fundamentais da Constituição
Considerando o texto da Constituição da República de 1988, são princípios que regem
a República Federativa do Brasil nas suas relações internacionais, EXCETO:
Provas
Questão presente nas seguintes provas
Amélia, casada há 10 anos, compareceu à delegacia da cidade onde mora para
denunciar prática de violência cometida contra ela por seu marido. Entre as atitudes descritas por
Amélia, estão: “meu marido quebrou o meu celular e gastou todo o dinheiro que eu possuía na minha
conta bancária, sem autorização”. Tendo em vista o que prevê a Lei Maria da Penha, qual é o tipo de
violência narrada por Amélia?
Provas
Questão presente nas seguintes provas
Analise as seguintes asserções e a relação proposta entre elas, tendo por referência
a Lei Federal nº 11.340/2006, Lei Maria da Penha:
I. A violência doméstica e familiar contra a mulher constitui uma das formas de violação dos direitos humanos.
PORQUE
II. Os direitos das mulheres estão acima de todos os demais direitos.
A respeito dessas asserções, assinale a alternativa correta.
I. A violência doméstica e familiar contra a mulher constitui uma das formas de violação dos direitos humanos.
PORQUE
II. Os direitos das mulheres estão acima de todos os demais direitos.
A respeito dessas asserções, assinale a alternativa correta.
Provas
Questão presente nas seguintes provas
De acordo com o Estatuto Nacional da Igualdade Racial, o direto à liberdade de
consciência e de crença e ao livre exercício dos cultos religiosos de matriz africana compreende:
I. A prática de cultos, a celebração de reuniões relacionadas à religiosidade e a fundação e manutenção, por iniciativa privada, de lugares reservados para tais fins.
II. O acesso aos órgãos e aos meios de comunicação para divulgação das respectivas religiões.
III. A celebração de festividades e cerimônias de acordo com preceitos das respectivas religiões.
Quais estão corretas?
I. A prática de cultos, a celebração de reuniões relacionadas à religiosidade e a fundação e manutenção, por iniciativa privada, de lugares reservados para tais fins.
II. O acesso aos órgãos e aos meios de comunicação para divulgação das respectivas religiões.
III. A celebração de festividades e cerimônias de acordo com preceitos das respectivas religiões.
Quais estão corretas?
Provas
Questão presente nas seguintes provas
Cadernos
Caderno Container