Foram encontradas 536 questões.
Qual é a principal desvantagem dos cemitérios
tradicionais em relação aos crematórios:
Provas
Questão presente nas seguintes provas
De acordo com a Resolução do CONAMA
335/2003, o que é necessário para qualquer
situação de sepultamento:
Provas
Questão presente nas seguintes provas
O que caracteriza os crematórios em termos de
tratamento dos corpos:
Provas
Questão presente nas seguintes provas
Quais são as vantagens do cemitério vertical em
comparação com os tradicionais:
Provas
Questão presente nas seguintes provas
Quais são os componentes típicos de um
cemitério tradicional:
Provas
Questão presente nas seguintes provas
Sabe-se que (2y + 35 = 44,6) assinale a assertiva que representa a metade de y.
Provas
Questão presente nas seguintes provas
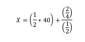
Assinale a assertiva que representa o valor de “X” na seguinte expressão.

Provas
Questão presente nas seguintes provas
Uma costureira separou R$ 1.200,00 para
comprar um tecido, ela comprou 13,5 metros do
tecido desejado e ainda lhe sobrou R$ 12,00 dos
R$ 1.200,00. A costureira utilizou 1,5 metros do
tecido comprado para fazer uma única peça de
roupa. Assinale a assertiva que apresenta o
custo do tecido utilizado na peça de roupa feita
pela costureira.
Provas
Questão presente nas seguintes provas
Ana acertou 65% da prova de ciências e João
acertou
da mesma prova. Assinale a assertiva
que apresenta uma verdade a respeito desses
alunos.
Provas
Questão presente nas seguintes provas
Em uma sala de aula 35% da quantidade de
alunos são meninas e 78 alunos são meninos.
Assinale a assertiva que apresenta a
quantidade de meninas que compõem essa
turma.
Provas
Questão presente nas seguintes provas
Cadernos
Caderno Container