Foram encontradas 112 questões.
Affitti, nuove professioni e inventiva
Airbnb decolla in Italia in vista di Expo
“Ho fatto i conti, se metto il mio monolocale in affitto su Airbnb per Expo ci guadagno 30 mila euro. E sai cosa ti dico? Per sei mesi mi trasferisco da mia madre”. Marco ha 34 anni, è un giornalista freelance e da qualche anno fa fatica a piazzare i suoi articoli. Così dopo che la nonna gli ha lasciato in eredità un appartamento in centro a Milano, Marco sta pensando di cambiare vita per un po’ guadagnandoci pure. Aperitivi, cene, gite fuori porta. In questo momento è facile incappare in conversazioni simili. Sono parecchi i milanesi che stanno pensando di sfruttare l’Expo per guadagnare qualche soldo, alla faccia dell’economia e degli affari che non girano. E tra le tante opportunità che la sharing economy offre una è proprio l’affitto degli appartamenti, come dimostra pure una ricerca Doxa che parla di due lombardi su tre pronti a prestare qualcosa di proprio.
[...] Airbnb ha anche un altro merito, cioè, quello di aver creato nuovi “posti di lavoro”. Uno su tutti quello dell’host professionale. “Dopo aver affittato una volta il mio appartamento con Airbnb, mi sono resa conto di quanto sia importante l’accoglienza per promuovere il turismo nel nostro Paese, così mi sono data da fare con tutta una serie di iniziative”, racconta Sara M., 37 anni, che, stanca di un lavoro che non la soddisfaceva, ha deciso di cambiare vita. Ora si preoccupa, dietro pagamento di una “mancia”, anche di affittare le case degli “amici”. “Faccio trovare un welcome kit per la prima colazione, do indicazioni turistiche utili per il soggiorno e tutto ciò che è necessario per far sentire le persone a casa”. Poi i contatti con la donna delle pulizie e la consegna e il ritiro delle chiavi. Come lei, anche Giovanni F., che, in vista di Expo, sta organizzando una pagina Facebook per offrire questo tipo di servizi a chi non ha voglia di stare dietro agli affitti brevi di casa propria. Studenti, casalinghe, disoccupati: Expo e Airbnb sono una buona occasione per rimettersi in piedi dopo anni difficili. “E non mi interessa della zona grigia della legge e delle tasse. Dovrò pur campare in qualche modo”, spiega ancora Giovanni, che in media per i suoi servizi chiede un 20 per cento del totale della transazione.
Adattato da: <http://seigradi.corriere.it/2015/03/24/affitti-nuove-professioni-e-inventiva-airbnb-decolla-in-italia-in-vista-di-expo/>.
La frase “Aperitivi, cene, gite fuori porta” mette in evidenza:
Provas
Questão presente nas seguintes provas
En todo artefacto delicado, resistente y complejo, como la ciudad, hay también un potencial de desorden, encarnizado en desmentir el ideal de sistema integrado que contradicen la intemperie, los espacios abiertos, las calles, las vías de transporte y, sobre todo, la competencia por ocupar materialmente los edificios y la tierra. Sólo una tipología, la del shopping center, resiste al principio diabólico del desorden, exorcizado por la perfecta adecuación entre finalidad y disposición del espacio.
El orden del mercado es mil veces más eficaz que el orden público: de donde la dinámica de la mercancía es más fuerte que el Estado. Ir de compras se ha convertido en el ingrediente principal de cualquier sustancia urbana. El cambio es colosal. La ciudad solía ser gratis; ahora hay que pagar por ella.
El shopping center asegura algunos de los requisitos que se exigen de una ciudad: orden, claridad, limpieza, seguridad, y que no están garantizados en las ciudades de los países pobres o sólo se obtienen parcialmente fuera de los enclaves del capitalismo globalizado. El shopping da la ilusión de independizarse de la ciudad y del clima: la luz es inalterable y los olores son siempre los mismos. Frente al relativo azar de lo que podría suceder en la calle, el shopping repite sus ritmos detrás de sus superficies glaseadas. Los que defienden esa forma con que el mercado influyó sobre la urbanística de muchas ciudades se apoyan precisamente en razones de uso regulado y normalizado: en el shopping los viejos y los adolescentes pueden pasear seguros, hay servicios al alcance de todo el mundo, es muy difícil robar o ser robado, y lo que se da para ver es lo que todos quieren mirar.
A diferencia de la calle y de los llamados centros comerciales al aire libre, sobre los cuales no hay control de la puesta en escena ni del diseño, en el shopping nada es casual. Los visitantes se desplazan en una atmósfera artificial como los peces domésticos en sus recipientes oxigenados, decorados con plantas marinas.
Última invención urbana del mercado, el shopping llegó en el momento en que se creyó que la ciudad se volvía insegura o, mejor dicho, en que la inseguridad se convirtió en una preocupación central. La forma de enfrentar los cambios que sucedieron en todas las ciudades del mundo, el mercado ofreció su creación: el shopping.
SARLO, Beatriz. La ciudad vista: Mercancías y cultura urbana. Buenos Aires: Siglo XXI, 2009. Texto adaptado.
Para que las ciudades comporten la presencia de los shopping centers se hace necesario un cambio cultural que:
Provas
Questão presente nas seguintes provas
Leia as duas declarações abaixo, associadas a dois presidentes estadunidenses:
“A América para os Americanos” – Doutrina Monroe, 1865.
“Todos somos americanos” – presidente Barack Obama, 17 de dezembro de 2014 (discurso sobre a reaproximação entre Estados Unidos e Cuba).
A respeito da postura dos Estados Unidos em sua política externa no continente americano, nos dois períodos históricos destacados acima, identifique como verdadeiras (V) ou falsas (F) as seguintes afirmativas:
( ) A Doutrina Monroe defendia a autonomia dos países americanos frente ao domínio da Europa, após a emancipação das colônias hispânicas. Ao longo do século XIX, tal ideário serviu para justificar a política de preponderância norte-americana sobre os demais países do continente americano.
( ) O presidente Obama defende a reconciliação entre os Estados Unidos e Cuba após o rompimento diplomático ocasionado pela Guerra Hispano-Americana. Por meio do pan-americanismo, os norte-americanos defendem a implantação da democracia e da modernização em Cuba.
( ) A Doutrina Monroe defendia a união aduaneira dos países do continente americano, inspirada no ideário pan-americano, após a emancipação das colônias hispânicas. Ao longo do século XIX, essa política favoreceu o domínio norte-americano sobre os países latinos produtores de matéria-prima.
( ) O presidente Obama defende a reconciliação entre os Estados Unidos e Cuba após o rompimento das relações diplomáticas durante a Guerra Fria. Ao mesmo tempo em que reivindicam de Cuba o respeito aos direitos humanos, os Estados Unidos mantêm domínio sobre a baía de Guantánamo.
Assinale a alternativa que apresenta a sequência correta, de cima para baixo.
Provas
Questão presente nas seguintes provas
O aplicativo de celular de um aeroporto apresenta o tempo que falta, em minutos, até a decolagem de cada voo. Às 13h37min., Marcelo usou o aplicativo e descobriu que faltavam 217 minutos para a decolagem de seu voo. Supondo que não haja atrasos, a que horas o voo de Marcelo deverá decolar?
Provas
Questão presente nas seguintes provas
Considere o gráfico da função !$ f(x) = \log_2 x !$ e a reta r que passa pelos pontos A e B, como indicado na figura ao lado, sendo k a abscissa do ponto em que a reta r intersecta o eixo Ox. Qual é o valor de k?
Provas
Questão presente nas seguintes provas
Produtores de frutas utilizam permanganato de potássio para desencadear a reação representada pela seguinte equação:
Permanganato de potássio + Etileno → Óxido de manganês + Gás carbônico + Hidróxido de potássio
O objetivo de colocar as frutas em contato com o permanganato de potássio é:
Provas
Questão presente nas seguintes provas
Famílias em transformação
O projeto de lei que cria o Estatuto da Família colocou na pauta do dia a discussão a respeito do conceito de família. Afinal, o que é família hoje? Alguém aí tem uma definição, para a atualidade, que consiga acolher todos os grupos existentes que vivem em contextos familiares?
A Câmara dos Deputados tem a resposta que considera a certa: “Família é a união entre homem e mulher, por meio de casamento ou de união estável, ou a comunidade formada por qualquer um dos pais junto com os filhos”. Essa é a definição aprovada pela Câmara para o projeto cuja finalidade é orientar as políticas públicas quanto aos direitos das famílias – essas que se encaixam na definição proposta –, principalmente nas áreas de segurança, saúde e educação. Vou deixar de lado a discussão a respeito das injustiças, preconceitos e exclusões que tal definição comporta, para conversar a respeito das famílias da atualidade.
Desde o início da segunda metade do século passado, o conceito de família entrou em crise, e uso a palavra crise no sentido mais positivo do termo: o que aponta para renovação e transição; mudança, enfim. Até então, tínhamos, na modernidade, uma configuração social hegemônica de família, que era pautada por um tipo de aliança – entre um homem e uma mulher – e por relações de consanguinidade. As mudanças ocorridas no mundo determinaram inúmeras alterações nas famílias, não apenas em seu desenho, mas, principalmente, em suas dinâmicas.
E é importante aceitar essa questão: não foram as famílias que provocaram mudanças na sociedade; esta é que determinou muitas mudanças nas famílias. Só assim iremos conseguir enxergar que a família não é um agente de perturbação da sociedade. É a sociedade que tem perturbado, e muito, o funcionamento familiar. Um exemplo? Algumas mulheres renunciam ao direito de ficar com o filho recém-nascido durante todo o período da licença-maternidade determinado por lei, porque isso pode atrapalhar sua carreira profissional. Em outras palavras: elas entenderam que a sociedade prioriza o trabalho em detrimento da dedicação à família. É assim ou não é?
Se pudéssemos levantar um único quesito que seria fundamental para caracterizar a transformação de um agrupamento de pessoas em família, eu diria que é o vínculo, tanto horizontal quanto vertical. E, hoje, todo mundo conhece grupos de pessoas que vivem sob o mesmo teto ou que têm relação de parentesco que não se constituem verdadeiramente em família, por absoluta falta de vínculo entre seus integrantes.
Os novos valores sociais têm norteado as pessoas para esse caminho. Vamos lembrar valores decisivos para nossa sociedade: o consumo, que valoriza o trabalho exagerado, a ambição desmedida e o sucesso a qualquer custo; a juventude, que leva adultos, independentemente da idade, a adotar um estilo de vida juvenil, que dá pouco espaço para o compromisso que os vínculos exigem; a busca da felicidade, identificada com satisfação imediata, que leva a trocas sucessivas nos relacionamentos amorosos, como amizades e par afetivo, só para citar alguns exemplos. O vínculo afetivo tem relação com a vida pessoal. O vínculo social, com a cidadania. Ambos estão bem frágeis, não é?
SAYÃO, Rosely. <www.folhaonline.com.br>. Em 29 set. 2015.
Com base no texto, considere as seguintes afirmativas:
- O conceito de família adotado no projeto de lei que cria o Estatuto da Família corresponde à composição familiar predominante na primeira metade do século XX.
- Uma família se constitui pelo vínculo entre pessoas, sejam da mesma geração, sejam de gerações diferentes.
- A ausência de vínculo afetivo entre pessoas que têm relação de parentesco é um fator de desestabilização da sociedade.
- O conceito de família aprovado pela Câmara dos Deputados exclui do escopo das políticas públicas parte dos agrupamentos familiares existentes.
Assinale a alternativa correta.
Provas
Questão presente nas seguintes provas
A área total de floresta perdida [no mundo] em 2013 foi de 180 mil km², o equivalente a dois Portugais. [...] O território devastado na Rússia corresponde a uma área maior que a da Suíça. No Canadá, foram 24,5 mil km². No Alasca (EUA), 17,4 mil km². O Brasil aparece em terceiro lugar no ranking, com a média anual de 21,6 mil km². A cifra não bate com o dado oficial do desmatamento na Amazônia Legal (5.012 km² de corte raso em 2013-14), porque inclui todos os biomas, não só a floresta amazônica, e usa critérios diversos do que se considera devastação.
(LEITE, Marcelo. Disponível em: <http://www1.folha.uol.com.br/colunas/marceloleite/2015/09/1678431-dois-portugais-de- floresta-perdida.sht ml>. Acessado em 29 set. 2015)
Considerando as informações do texto e os conhecimentos de geografia, assinale a alternativa correta.
Provas
Questão presente nas seguintes provas
A unificação alemã foi articulada pelo reino da:
Provas
Questão presente nas seguintes provas
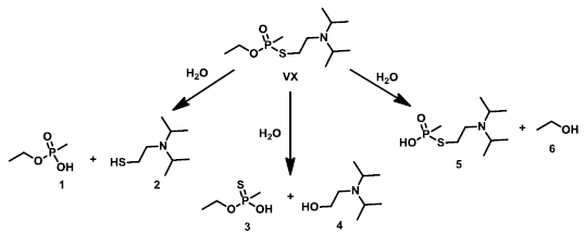
O Nobel da Paz de 2013 foi entregue à Organização para a Proibição das Armas Químicas, o que reforçou a preocupação mundial quanto à erradicação desse tipo de armamento. O VX é um agente químico altamente tóxico, classificado como arma de destruição em massa. A eliminação desse agente é realizada via degradação, que pode ocorrer por três caminhos, tal como ilustrado ao lado. No entanto, o composto “5” também pode atuar como arma química, por ser muito mais tóxico que os outros produtos da degradação.

Fonte: SMITH, B.M. Catalytic methods for the destruction of chemical warfare a gents under ambient conditions. In: Chemical Society Reviews, v. 37, p.470-478, 2008. Adaptado.
O quadro abaixo mostra as condições para detoxificação do agente VX e respectivos resultados pelos diferentes métodos.

Com base nas informações fornecidas, qual método de detoxificação é mais eficiente?
Provas
Questão presente nas seguintes provas
Cadernos
Caderno Container