Foram encontradas 112 questões.
Diferentes líquidos, em função da sua tensão superficial, apresentam volumes de gota diferentes. A tabela abaixo mostra o número de gotas contido em 1 mL para três líquidos diferentes:

Um grupo de amigos percebe que, ao se gotejar um líquido sobre uma moeda, forma-se uma gota sobre essa moeda. Após adições sucessivas, a gota colapsa e o líquido espalha-se sobre a moeda. No entanto, eles verificam que, dependendo do líquido, o comportamento é diferente, mas o material da moeda não influencia. Assim, eles fazem um desafio para ver quem consegue utilizar o menor volume de líquido para cobrir toda a superfície da moeda, sendo que eles podem escolher entre os líquidos A, B e C e utilizar uma moeda de 5 ou 10 centavos.
Quem ganhou o desafio?
Provas
Questão presente nas seguintes provas
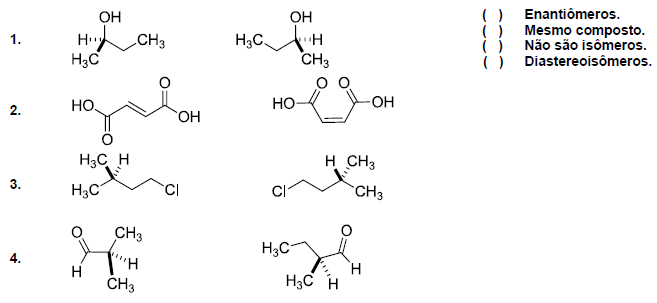
Isomeria é o nome dado à ocorrência de compostos que possuem a mesma fórmula molecular, mas que apresentam estruturas diferentes entre si. Os isômeros são classificados em constitucionais, que diferem na maneira como os átomos estão conectados (conectividade) em cada isômero, e estereoisômeros, que apresentam a mesma conectividade, mas diferem na maneira como seus átomos estão dispostos no espaço. Os estereoisômeros se dividem ainda em enantiômeros, que têm uma relação de imagem e objeto (que não são sobreponíveis), e diastereoisômeros, que não têm relação imagem e objeto.
Com relação à isomeria, numere a coluna da direita de acordo com sua correspondência com a coluna da esquerda.

Assinale a alternativa que apresenta a numeração correta da coluna da direita, de cima para baixo.
Provas
Questão presente nas seguintes provas
Cadernos
Caderno Container