Foram encontradas 1.132 questões.
Em relação aos lipídios na nutrição humana, julgue os itens a seguir, considerando a sua biodisponibilidade, requerimentos nutricionais, recomendações dietéticas e principais fontes alimentares.
Em jejum prolongado, ocorre lipólise no tecido adiposo, o que leva à liberação de ácidos graxos, os quais são convertidos em corpos cetônicos no fígado, os quais, por sua vez, podem atravessar a barreira hematoencefálica e servir como fonte energética para o cérebro.
Provas
Em relação aos lipídios na nutrição humana, julgue os itens a seguir, considerando a sua biodisponibilidade, requerimentos nutricionais, recomendações dietéticas e principais fontes alimentares.
Os ácidos graxos poli-insaturados da série ômega-3, como o EPA e o DHA, apresentam alta biodisponibilidade em fontes marinhas e desempenham papel anti-inflamatório importante na prevenção de doenças cardiovasculares.
Provas
Em relação aos lipídios na nutrição humana, julgue os itens a seguir, considerando a sua biodisponibilidade, requerimentos nutricionais, recomendações dietéticas e principais fontes alimentares.
O óleo de coco é uma fonte alimentar rica em ácidos graxos poli-insaturados, sendo considerado uma das principais fontes de lipídios na dieta por seu efeito protetor cardiovascular.
Provas
Julgue os itens subsequentes, relativos a doenças endócrinas.
A resistência à insulina na obesidade é frequentemente associada à dislipidemia, que se caracteriza por elevados níveis de triglicerídeos circulantes e nível baixo da fração do colesterol de lipoproteína de baixa densidade.
Provas
Julgue os itens subsequentes, relativos a doenças endócrinas.
Embora não haja consenso em relação ao manejo do hipotireoidismo subclínico, recomenda-se a reposição do hormônio tireoidiano em pacientes grávidas e em indivíduos com níveis de TSH acima de 10 mUI/L.
Provas
Julgue os itens subsequentes, relativos a doenças endócrinas.
A tireoidite silenciosa diferencia-se da tireoidite subaguda por ter, além do bócio indolor, VHS elevado e pela ausência de anticorpos contra TPO.
Provas
Acerca das fontes alimentares, da recomendação de presença de fibras na alimentação humana e do consumo desse tipo de nutriente, julgue os itens subsecutivos.
A fermentação das fibras solúveis no cólon gera ácidos graxos de cadeia curta, como o butirato, que é usado como fonte energética pelos colonócitos e tem ação anti-inflamatória local.
Provas
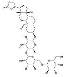
A Agência Nacional de Vigilância Sanitária (ANVISA) proibiu, em 2022, qualquer produto que contenha noz-da-índia (Aleurites moluccanus) e chapéu-de-napoleão (Thevetia peruviana). Esses produtos têm sido comercializados e divulgados irregularmente com indicações de emagrecimento, porém podem apresentar cardiotoxicidade. A tevetina A, cuja molécula é ilustrada pela figura a seguir, é um composto encontrado nesses produtos.

A partir dessas informações, julgue os itens a seguir, relativos a drogas com ação cardiovascular.
O uso associado de amiodarona e chá de noz-da-índia podem aumentar o risco de intoxicação do paciente devido ao prolongamento do intervalo QT.
Provas
Disciplina: Administração de Recursos Materiais
Banca: CESPE / CEBRASPE
Orgão: PF
Julgue os itens a seguir, que versam sobre recebimento, armazenagem e distribuição de materiais.
A operação dos grandes distribuidores consistente em receber produtos de diversos fornecedores e combiná-los de acordo com as solicitações dos clientes é comumente subsidiada por armazéns compostos.
Provas
Acerca das fontes alimentares, da recomendação de presença de fibras na alimentação humana e do consumo desse tipo de nutriente, julgue os itens subsecutivos.
Embora apresentem ação sobre o atraso do esvaziamento gástrico no lúmen intestinal, reduzindo, assim, a velocidade de absorção da glicose, as fibras alimentares solúveis são pouco relevantes para a prevenção de picos glicêmicos pós-prandiais em indivíduos diabéticos.
Provas
Caderno Container