Foram encontradas 120 questões.
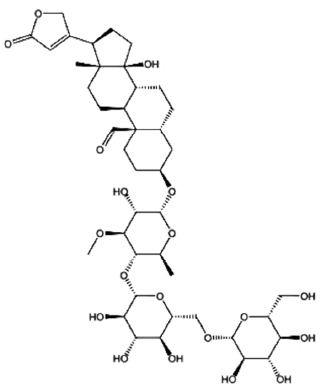
A Agência Nacional de Vigilância Sanitária (ANVISA) proibiu, em 2022, qualquer produto que contenha noz-da-índia (Aleurites moluccanus) e chapéu-de-napoleão (Thevetia peruviana). Esses produtos têm sido comercializados e divulgados irregularmente com indicações de emagrecimento, porém podem apresentar cardiotoxicidade. A tevetina A, cuja molécula é ilustrada pela figura a seguir, é um composto encontrado nesses produtos.

A partir dessas informações, julgue o item a seguir, relativos a drogas com ação cardiovascular.
A tevetina A, encontrada na espécie Thevetia peruviana, pertence à classe dos glicosídeos cardiotônicos e possui efeito inotrópico negativo na musculatura cardíaca.
Provas
Durante procedimento cirúrgico realizado em paciente obeso, com tratamento profilático de gentamicina, a equipe anestésica realizou intubação orotraqueal com indução venosa e administração de atracúrio. Ao final do procedimento, a equipe administrou neostigmina e atropina ao paciente, tendo sua recuperação durado mais tempo que o esperado.
Considerando o caso hipotético descrito, julgue o próximo item.
O atracúrio é um bloqueador neuromuscular e atua como antagonista competitivo da acetilcolina nos receptores muscarínicos.
Provas
Com base nas disposições da CF e no entendimento do STF, julgue o item que se seguem.
O Senado Federal possui competência exclusiva para sustar os atos normativos do Poder Executivo que exorbitem do poder regulamentar, exercendo tal controle diretamente, sem necessidade de manifestação da Câmara dos Deputados.
Provas
Julgue o item seguinte com base na Constituição Federal de 1988 (CF) e na jurisprudência dos tribunais superiores.
A dignidade da pessoa humana, além de ser um dos fundamentos da República Federativa do Brasil, orienta a interpretação e aplicação das normais constitucionais relativas aos direitos individuais.
Provas
Julgue o item seguinte com base na Constituição Federal de 1988 (CF) e na jurisprudência dos tribunais superiores.
É assegurado ao preso o direito à identificação dos responsáveis por sua prisão, exceto quando esta ocorrer no âmbito de operação sigilosa autorizada por autoridade competente.
Provas
Julgue o próximo item, relativos a ambiente Windows, segurança da informação e redes de computadores.
No backup incremental, somente os dados modificados desde o último backup são copiados; essa estratégia de backup é mais rápida que a do backup diferencial, na qual são copiados somente os dados recém-adicionados e alterados desde o último backup completo.
Provas
Acerca do regime disciplinar dos servidores públicos federais ― Lei n.º 8.112/1990 ― e da Lei de Improbidade Administrativa ― Lei n.º 8.429/1992 ―, julgue o item que se seguem.
No âmbito da Lei n.º 8.112/1990, as ações para a apuração de infrações disciplinares praticadas por servidores públicos federais puníveis com demissão, suspensão ou cassação de aposentadoria prescrevem em 5 anos, iniciando-se a contagem do prazo a partir da data de cometimento do ilícito.
Provas
- ProlegômenosConceito de Administração Pública
- ProlegômenosPrincípios da Administração PúblicaPrincípios Expressos
Julgue os seguintes itens, relativos a poderes administrativos, regime jurídico-administrativo e controle da administração pública.
Uma vez que a administração pública somente pode exigir e fazer o que está previsto em lei, os princípios que a regem são também aqueles expressos em lei.
Provas
No que se refere a noções básicas de toxicologia e toxicologia de medicamentos, julgue os próximos itens.
A dose letal (DL) 90 é uma medida que identifica a dose necessária de uma substância para que se induza toxicidade aguda, enquanto a DL 50 identifica a dose capaz de induzir toxicidade crônica.
Provas
No que se refere a noções básicas de toxicologia e toxicologia de medicamentos, julgue os próximos itens.
Durante a realização dos ensaios clínicos de fase I de um fármaco, são avaliados parâmetros de segurança farmacológica e toxicidade, além da sua eficácia.
Provas
Caderno Container