Foram encontradas 1.190 questões.
Considere Z e W dois números complexos, tais que Z = cis (π/6) e W = k.cis (π/3), com k um número real. Considere a expressão [Z2 . W]n , em que n é um número natural maior do que zero.
Nessas condições, o menor valor de n para o qual essa expressão resulta em um número real é igual a
Provas
Provas
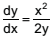
Considere a equação diferencial ordinária
, com
y(0) = -2.
O valor de y(3) é
Provas
Sejam
=ℝ2 → ℝ2 o campo vetorial definido por
(x,y) =(P (x,y) , Q (x,y)) = (ey - 3x2y2 + 6x , xey - 2x3 y -1) e α : [a,b] → ℝ2 uma curva simples diferenciável, tal que α(a) = (0, 1) e α(b) = (1,0).
A integral de linha
vale
Provas
Uma esfera maciça e homogênea é composta de um único material, e tem massa igual a 400 g. Outra esfera, também maciça e homogênea, e de mesmo material, tem raio 50% maior do que o da primeira esfera.
Assim, o valor mais próximo da massa da esfera maior, em quilogramas, é igual a
Provas
Provas
Uma Organização sem fins lucrativos decidiu construir 3 estações de monitoramento sísmico, idênticas. Sabe-se que cada estação deverá ficar em um terreno diferente e que a Organização possui um total de 20 terrenos atualmente disponíveis.
De quantas formas diferentes essa Organização poderá escolher os 3 terrenos que receberão as estações, dentre os 20 terrenos que possui?
Provas
Seja f a função definida por ![]()
Dentre todos os vetores unitários
, qual é aquele para o qual a derivada direcional
assume o seu
maior valor?
Provas
A transformada de Fourier,
, da função
é igual a
Provas
Os valores a e b que atendem ao sistema

são também raízes da equação do segundo grau x² - Sx + P = 0.
O produto S . P é igual a
Provas
Caderno Container