Foram encontradas 1.190 questões.
A Figura a seguir representa um sólido obtido quando se
cortam dois tetraedros de um prisma trapezoidal reto de
bases PQAD e NRBC. As faces ABCD e PNCD são quadrados
de lado 2 m, perpendiculares entre si, e o ponto M
é tal que PM e MN têm mesmo comprimento e são perpendiculares
entre si.

Qual o volume desse sólido, em m3 ?

Qual o volume desse sólido, em m3 ?
Provas
Questão presente nas seguintes provas
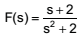
A transformada de Laplace da função f(t) = (1-t -e -2t)u(t),
na qual u(t) é o degrau unitário, é
Provas
Questão presente nas seguintes provas
Os estagiários de uma empresa combinaram fazer uma
salada de frutas para seu lanche. A salada de frutas foi
feita apenas com frutas de que todos gostam, o que levou
à decisão de usarem apenas maçã, laranja e banana. No
dia combinado, 20% dos estagiários levaram maçãs, 35%
dos estagiários levaram laranjas e os 9 estagiários restantes
levaram bananas.
Se todos levaram apenas um tipo de fruta, quantos estagiários há na empresa?
Se todos levaram apenas um tipo de fruta, quantos estagiários há na empresa?
Provas
Questão presente nas seguintes provas
Se x e y são números reais, tais que
2 log(x-2y) = logx + logy,
qual o valor de x/y ?
2 log(x-2y) = logx + logy,
qual o valor de x/y ?
Provas
Questão presente nas seguintes provas
Sejam z e w números complexos em que z2 - w2
= 7 + i.
Se a diferença entre os conjugados de z e w é dada pelo
complexo 1 + 2i, o complexo
é
Provas
Questão presente nas seguintes provas
O módulo ρ e o argumento principal θ, -π ≤ θ ≤ π, do
complexo z = 2(1+i), são de tal modo que o produto ρθ vale
Provas
Questão presente nas seguintes provas
Uma arena esportiva possui exatamente 8 portões, numerados de 1 a 8. Essa arena é considerada aberta se,
e somente se, pelo menos um dos seus portões estiver
aberto. Por exemplo, seguem três maneiras diferentes de
se ter essa arena aberta:
• quando apenas o portão 3 está aberto; • quando apenas o portão 6 está aberto; • quando apenas os portões 3, 7 e 8 estão abertos.
O número total de maneiras diferentes de se ter essa arena aberta é:
• quando apenas o portão 3 está aberto; • quando apenas o portão 6 está aberto; • quando apenas os portões 3, 7 e 8 estão abertos.
O número total de maneiras diferentes de se ter essa arena aberta é:
Provas
Questão presente nas seguintes provas
O maior valor que a função real, y = f(x), de variável real,
definida por y = 3sen(x) + 4cos(x), pode assumir é
Provas
Questão presente nas seguintes provas
O tempo, em anos, decorrido entre dois abalos sísmicos em uma região é uma variável aleatória, com distribuição exponencial. Na região, abalos costumam ocorrer a uma taxa média de 0,042 por mês, ou seja, um abalo a cada 2 anos, em média.
A probabilidade de um abalo demorar mais de quatro anos para ocorrer na região, imediatamente após a ocorrência do subsequente, é igual a
Provas
Questão presente nas seguintes provas
Seja f uma função real que admite inversa. Se f(1) = 1,
f '(1) = 2, f "(1) = -16 e g é a inversa de f, então g"(1) é
Provas
Questão presente nas seguintes provas
Cadernos
Caderno Container