Foram encontradas 70 questões.
TEXTO I
Portugueses no Rio de Janeiro

PAULO, Heloísa. Portugueses no Rio de Janeiro: salazaristas e opositores em manifestação na cidade. In: ALVES, Ida et alii. 450 Anos de Portugueses no Rio de Janeiro. Rio de Janeiro: Oficina Raquel, 2017, pp. 260-1. Adaptado.
Segundo o Texto I, os portugueses somavam 196 mil habitantes na cidade que era a terceira cidade portuguesa do mundo, número que correspondia a um décimo de sua população urbana.
Isso significa que havia cerca de 1.960.000 habitantes
Provas
TEXTO I
Portugueses no Rio de Janeiro

PAULO, Heloísa. Portugueses no Rio de Janeiro: salazaristas e opositores em manifestação na cidade. In: ALVES, Ida et alii. 450 Anos de Portugueses no Rio de Janeiro. Rio de Janeiro: Oficina Raquel, 2017, pp. 260-1. Adaptado.
“No Centro da cidade, próximo ao grande comércio, temos um grupo significativo de patrícios e algumas associações de porte” (ℓ. 20-22).
No trecho acima, a autora usou em itálico a palavra destacada para fazer referência aos
Provas
TEXTO I
Portugueses no Rio de Janeiro

PAULO, Heloísa. Portugueses no Rio de Janeiro: salazaristas e opositores em manifestação na cidade. In: ALVES, Ida et alii. 450 Anos de Portugueses no Rio de Janeiro. Rio de Janeiro: Oficina Raquel, 2017, pp. 260-1. Adaptado.
Provas
TEXTO II
A Benzedeira

LEE, Rita. Uma Autobiografia. São Paulo: Globo, 2016, p. 36.
Provas
Turbinas a vapor são máquinas motrizes amplamente utilizadas em ciclos de potência, sendo parte presente nos ciclos Rankine. Em relação às turbinas a vapor, considere as afirmativas a seguir:
I - Em turbinas de reação, a pressão de vapor na entrada dos canais formados pelas palhetas é menor ou igual à pressão na saída.
II - Nas turbinas de ação, o vapor é parcialmente expandido em uma ou mais boquilhas fi xas, antes de atingir as pás do rotor.
III - O expansor é um órgão essencial, pois é onde a energia de pressão do vapor se transforma em energia cinética.
É correto o que se afirma APENAS em:
Provas
Uma máquina térmica que utiliza o Ciclo de Carnot é a que apresenta o maior rendimento possível; entretanto, a máquina de Carnot tem poucas aplicações práticas.
Para superar essa dificuldade, um ciclo reversível idealizado que tem o mesmo rendimento do Ciclo de Carnot, operando entre as mesmas temperaturas, é o ciclo
Provas
Uma máquina térmica utiliza um ciclo termodinâmico reversível tendo um gás ideal como substância de trabalho. Esse ciclo passa pelos estados A, B, C e D e é composto pelos processos apresentados no Quadro a seguir:

Após a análise das informações contidas no Quadro, constata-se que o rendimento do ciclo vale, aproximadamente,
Provas
Na Figura abaixo, mostra-se a bomba de Worthington 3LV-2.

Uma bomba Worthington 3LV-2, diâmetro 10 ¼”, funcionando com 1.750 rpm, é utilizada em uma instalação hidráulica, cuja descarga é de 140 m3 /h.
Qual deve ser a potência dessa bomba, em HP?
Provas
- Mecânica dos FluidosFundamentos e Análise da Cinemática de Escoamentos
- Sistemas MecânicosMetrologia (Princípios da Cotagem, Tolerâncias, Folgas e Ajustes)
Se o fluido utilizado no manômetro é água, a velocidade do fluxo de CO2 vale, aproximadamente, em m.s-1 ,
Dados:
Densidade do CO2 = 2,00 kg.m-3
Densidade da água = 1000 kg.m-3
Aceleração da gravidade = 10,0 m.s-2
Provas
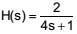
A função de transferência de um circuito é dada por
.
Provas
Caderno Container