Foram encontradas 1.925 questões.
Entre as técnicas de controle e análise de dados de processo, encontra-se o Balanced Scorecard (BSC), criado por Robert Kaplan e David Norton.
Sobre essa técnica, analise as afirmações a seguir.
O BSC disponibiliza aos gerentes e executivos um conjunto de medidas financeiras e não financeiras que fornecem uma visão mais ampla e balanceada do desempenho organizacional.
PORQUE
As medidas financeiras guiam, indicam e avaliam o caminho que as companhias devem tomar para criar valor futuro, enquanto as medidas não financeiras indicam a história dos eventos passados.
A esse respeito, conclui-se que
Provas
Questão presente nas seguintes provas
“Se você não pode medir isso, você não pode gerenciá-lo.”
Peter Drucker
O sucesso de uma organização depende da capacidade de avaliação de seu desempenho, é o que nos afirma Drucker.
É necessário, no entanto, determinar os indicadores de desempenho apropriados para cada processo.
Um indicador importante do desempenho de processo é a Velocidade do Processo, que é definida pela razão entre
Provas
Questão presente nas seguintes provas

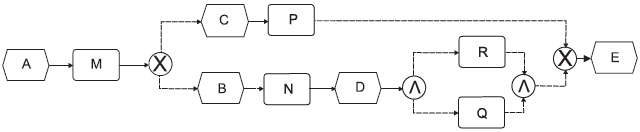
Analisando-se o esqueleto de modelo de processo descrito com a técnica EPC (ARIS) acima, verifica-se que, quanto ao relacionamento entre eventos e funções,
Provas
Questão presente nas seguintes provas
Um processo de negócio pode ser definido como um(a)
Provas
Questão presente nas seguintes provas
Os resultados de um projeto podem requerer atualizações no planejamento. Essas alterações podem mudar durações, produtividade, recursos e causar riscos imprevistos.
Quanto ao Grupo de processos de execução descrito no PMBOK 4ª Edição, tem-se que
Provas
Questão presente nas seguintes provas
Segundo o PMBOK 4ª Edição, as estruturas organizacionais influenciam na forma como os projetos são executados.
Nesse contexto, na estrutura organizacional
Provas
Questão presente nas seguintes provas
O gerenciamento de projeto exige, para sua boa realização, o conhecimento não só do processo de gerenciamento e suas atividades, mas também das ferramentas e técnicas apropriadas para serem utilizadas em cada Processo.
O PMBOK 4ª Edição é um guia que fornece essa informação.
Com base nesse guia, considere as ferramentas e técnicas listadas a seguir:
I - Análise da Variação
II - Decomposição
III - Entrevistas
IV - Oficinas
Fazem parte do processo Coletar os Requisitos apenas os que se apresentam em
Provas
Questão presente nas seguintes provas
Na etapa de encerramento de um projeto, o gerente deve analisar o plano de gerenciamento do projeto, as entregas aceitas e os ativos de processos organizacionais. Por meio da opinião especializada, pode(m) ser produzida(s):
I - a transição de produto, serviço ou resultado final;
II - as atualizações de ativos de processos organizacionais;
III - o registro da situação da configuração final.
O gerente deve produzir o que se apresenta em
Provas
Questão presente nas seguintes provas
Segundo o PMBOK 4ª Edição, durante o processo Desenvolver o cronograma, é necessário realizar a Análise da Rede do Cronograma. Para isso, devem ser utilizadas técnicas analíticas apropriadas que permitam gerar corretamente o cronograma do projeto.
A esse respeito, considere as seguintes técnicas analíticas:
I - Método da cadeia crítica
II - Análise do cenário e-se
III - Nivelamento de recursos
É aplicável à Análise da Rede do Cronograma a técnica mencionada em
Provas
Questão presente nas seguintes provas
Em uma Estrutura Analítica de Projeto organizada por fases, devem-se colocar as atividades mais complexas do projeto no nível mais detalhado (os pacotes de trabalho).
PORQUE
Um pacote de trabalho pode ser agendado, ter seu custo estimado, monitorado e controlado.
Analisando-se as afirmações acima, conclui-se que
Provas
Questão presente nas seguintes provas
Cadernos
Caderno Container