Magna Concursos

Foram encontradas 2.308 questões.

85815 Ano: 2008
Disciplina: Engenharia Naval
Banca: CESGRANRIO
Orgão: Petrobrás

Em relação aos componentes estruturais do casco de um navio, é correto afirmar que as(os)

 

Provas

Questão presente nas seguintes provas

Enunciado 85814-1

Utilizando-se o software Autocad, os 3 segmentos de reta da Figura 1 deverão ser transformados no triângulo retângulo apresentado na Figura 2. Empregando-se o comando FILLET para executar esta tarefa, o valor em que deve ser ajustado o atributo raio do comando, em cm, será

 

Provas

Questão presente nas seguintes provas

Enunciado 85813-1

A Figura 2 apresentada acima foi gerada a partir da Figura 1 no AutoCAD (versão 2000 ou posterior) utilizando apenas duas funções, com suas respectivas opções, em três estágios. As duas funções são:

 

Provas

Questão presente nas seguintes provas
85812 Ano: 2008
Disciplina: Engenharia Elétrica
Banca: CESGRANRIO
Orgão: Petrobrás

Uma empresa telefônica venceu uma concorrência pública e agora dispõe, para seus serviços celulares, de uma banda de 10 MHz para transmissão e outra de 10MHz para recepção, estando as mesmas espaçadas de 45 MHz. Cada uma das bandas é formada por canais de RF de 25 kHz. Sabendo que a tecnologia empregada pela operadora é a TDMA (Múltiplo acesso por divisão no tempo), onde cada canal RF comporta 3 conversações simultâneas, o número máximo de conversações simultâneas que a empresa é capaz de disponibilizar aos seus usuários é

 

Provas

Questão presente nas seguintes provas
85811 Ano: 2008
Disciplina: Engenharia Eletrônica
Banca: CESGRANRIO
Orgão: Petrobrás

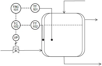
Enunciado 85811-1

O diagrama do processo industrial apresentado na figura acima representa o controle

 

Provas

Questão presente nas seguintes provas
85810 Ano: 2008
Disciplina: Engenharia Eletrônica
Banca: CESGRANRIO
Orgão: Petrobrás

Uma placa de orifício segmental foi instalada na tubulação de saída do condensador de topo de uma coluna de destilação para medir a vazão do produto obtido na separação. Qual o tag para identificação deste instrumento no diagrama P&I?

 

Provas

Questão presente nas seguintes provas
85809 Ano: 2008
Disciplina: Engenharia Elétrica
Banca: CESGRANRIO
Orgão: Petrobrás

Enunciado 85809-1

De acordo com as normas ANSI/ISA-S.5.1-1984 (R.1992), elaboradas pela Instrument Society of América, os instrumentos LI-203 e TAH-203, na figura acima, representam, respectivamente,

 

Provas

Questão presente nas seguintes provas
85808 Ano: 2008
Disciplina: Engenharia Elétrica
Banca: CESGRANRIO
Orgão: Petrobrás

A Norma ASTM estabelece os parâmetros básicos para controle e aplicação de ensaio por líquido penetrante em metais não porosos e componentes não metálicos, sendo que sua utilização deve ser realizada sempre em conjunto com um procedimento detalhado. Com relação à utilização desta norma, considere as afirmativas a seguir.

I - Sempre deve ser adotado um outro documento que estabeleça o critério de aceitação e rejeição do item que está sendo ensaiado.

II - O item que está sendo ensaiado, para ter aceitação, não deve sofrer nenhum tipo de efeito nocivo diante de qualquer líquido penetrante.

III - Os Manuais e Boletins de Serviço devem fornecer, para um procedimento específico, informações complementares às já existentes na norma.

É(São) correta(s) a(s) afirmativa(s)

 

Provas

Questão presente nas seguintes provas
85807 Ano: 2008
Disciplina: Engenharia Eletrônica
Banca: CESGRANRIO
Orgão: Petrobrás

As válvulas de regulagem são dispositivos utilizados para controlar o fluxo de fluidos em uma tubulação, podendo trabalhar em qualquer posição de fechamento. São exemplos dessa modalidade de válvula as do tipo

 

Provas

Questão presente nas seguintes provas
85806 Ano: 2008
Disciplina: Engenharia Elétrica
Banca: CESGRANRIO
Orgão: Petrobrás

Um transmissor de pressão diferencial usado para medir a vazão de um líquido que escoa por uma tubulação está conectado às tomadas de pressão de uma placa de orifício. Qual das figuras abaixo mostra a forma correta de conectar as tomadas de pressão?

 

Provas

Questão presente nas seguintes provas