Foram encontradas 232 questões.
Considerando: R − resistência elétrica, L − indutância e C − capacitância, o modelo por fase de uma linha de transmissão de alta tensão entre as subestações A e B é constituído por um circuito
Provas
Considere as seguintes proposições referentes a um alternador síncrono utilizado como gerador de emergência de um grupo diesel-elétrico:
I. Os enrolamentos induzidos estão no estator.
II. O valor da freqüência gerada depende diretamente da rotação de saída do motor diesel.
III. Ele sempre opera com fator de potência unitário.
É correto o que consta APENAS em
Provas
Um transformador possui as especificações seguintes: 110 V x 15 V − 30 W e rendimento η = 90%. Se no secundário for instalada uma carga de 10 Ω, a corrente no primário será, aproximadamente, de
Provas
No eletromagnetismo, a Lei de Faraday refere-se à força eletromotriz produzida pela variação do fluxo magnético e a Lei de Lenz indica que a polaridade dessa força deve ser tal que se opõe à causa que a produz. Essas duas leis estão representadas na expressão
Provas
Em um circuito RC série é aplicada uma tensão DC de 15 V. Sendo R = 100 kΩ, C = 2200 μF e estando o capacitor inicialmente descarregado, determine a constante de tempo τ do circuito e o valor aproximado da tensão VR no resistor após um intervalo equivalente a τ.
Provas
Uma carga monofásica, cuja impedância vale
, tem fator de potência igual a, aproximadamente,
Provas
Uma carga trifásica balanceada na configuração estrela é composta por três impedâncias iguais de 20 Ω. A tensão de linha é de 380 V. Nesse caso, as correntes de linha (IL) e de fase (IF) valem, respectiva e aproximadamente,
Provas
Para verificar o grau de estabilidade no sensor de um sistema de alarme, uma corrente em seu circuito foi medida quatro vezes num intervalo de 24 horas, sem que tal circuito tivesse sido ativado. Os valores medidos foram: 10,05 mA; 10,10 mA; 10,20 mA; 9,85 mA. Para a análise, foram solicitados o valor médio e o desvio padrão, que valem, aproximada e respectivamente,
Provas
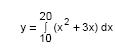
Analise a expressão abaixo.

Provas
As questões de números 16 a 20 referem-se ao texto que segue.
O jornal New York Times começou a publicar, para cada soldado morto, capturado ou desaparecido no Iraque, um retrato e um resumo de sua jornada. Essas pequenas galerias de rostos evocavam, na memória, uma outra galeria, bem maior, que ocupou as páginas do mesmo jornal durante meses depois do atentado de 11 de setembro de 2001: os retratos e os obituários de todas as vítimas do ataque. Um ano mais tarde, na cerimônia do aniversário do atentado, em Nova York, não houve discursos de fundo, mas diversos oradores alternaram-se no palco para ler em voz alta, um a um, os nomes das 2.801 vítimas.
A cultura americana, mais do que qualquer outra, vive e pensa a coletividade como um conjunto de indivíduos.
Para um europeu ou um sul-americano, comemorar, explicar e mesmo narrar um acontecimento é, no mínimo, problemático se não se explorar sua dimensão propriamente social: o encontro ou a luta de idéias, classes, nações, grupos, grandes interesses econômicos etc.
(Contardo Calligaris, Terra de ninguém)
É preciso corrigir a redação da seguinte frase:
Provas
Caderno Container