Foram encontradas 544 questões.
As reservas compulsórias, as operações de mercado aberto e a taxa de redesconto são os instrumentos de política monetária a disposição do Banco Central. Neste sentido podemos afirmar que:
Provas
Questão presente nas seguintes provas
Para descrever os gases, os químicos aprenderam que somente quatro unidades são necessárias: a pressão do gás, seu volume e temperatura e a quantia do gás. Segundo a teoria é correto afirmar:
I. O volume de uma quantidade fixa de gás a uma dada temperatura é inversamente proporcional à pressão exercida pelo gás.
II. Se uma determina quantidade de gás é mantida a pressão constante, seu volume é diretamente proporcional à temperatura.
III. A densidade de um gás é inversamente proporcional à temperatura.
IV. A densidade de um gás é inversamente proporcional à sua massa molar.
Responda corretamente:
Provas
Questão presente nas seguintes provas
Sobre a histologia do Sistema Nervoso, assinale a afirmativa INCORRETA.
Provas
Questão presente nas seguintes provas
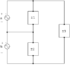
No circuito abaixo, as fontes de tensão fasoriais Va e Vb apresentam módulo igual a 250 V (eficaz) e ângulo igual a zero grau. O dipolo Z1 possui fator de potência atrasado, desenvolvendo potência ativa de 1,2 kW e potência reativa de 240 VAr. O dipolo Z2 apresenta fator de potência FP = 0,96 adiantado e desenvolve potência aparente de 1 kVA. O dipolo Z3 é formado pela associação em paralelo de um resistor com resistência de 6,25 !$ \Omega !$ e um indutor com reatância de 25 !$ \Omega !$. Pode-se afirmar que o módulo das potências média e reativa das fontes Va e Vb valem, respectivamente:

Provas
Questão presente nas seguintes provas
A ciência consiste numa série de procedimentos complexos e criativos, que busca uma relação entre a observação de fenômenos e suas medidas. Assim nenhuma ciência pode prescindir das observações quantitativas, das medidas das grandezas envolvidas nos experimentos. Sobre medidas de peso e medidas de volume é INCORRETO afirmar:
Provas
Questão presente nas seguintes provas
Considerando-se o circuito lógico combinacional mostrado na figura abaixo, tendo como entrada as variáveis A,B e C e como saída a variável X, qual das expressões abaixo pode representar o resultado de saída desse circuito?

Provas
Questão presente nas seguintes provas
Uma casa necessita de 5,4 MJ por dia para manter sua temperatura a 24ºC quando a temperatura do ambiente externo é de 10ºC. Se uma bomba de calor for utilizada para fornecer esta energia, determine o trabalho teórico mínimo necessário para realizar a operação.
Provas
Questão presente nas seguintes provas
1372309
Ano: 2008
Disciplina: Engenharia Civil
Banca: GPG Concursos
Orgão: Polícia Científica-SC
Disciplina: Engenharia Civil
Banca: GPG Concursos
Orgão: Polícia Científica-SC
Provas:
Por definição Saneamento Básico é um serviço que compreende os sistemas de abastecimento d'água, de esgotos sanitários, de drenagem de águas pluviais e de coleta de lixo. Estes são os serviços essenciais que se regularmente bem executados, elevarão o nível de saúde da população beneficiada, gerando maior expectativa de vida e consequentemente, maior produtividade. Sobre drenagem urbana pode-se afirmar que:
I. Os sistemas de drenagem são classificados de acordo com suas dimensões, em sistemas de microdrenagem, também denominados de sistemas finais de drenagem, e de macro drenagem.
II. A micro-drenagem inclui a coleta e afastamento das águas superficiais ou subterrâneas através de pequenas e médias galerias, fazendo ainda parte do sistema todos os componentes do projeto para que tal ocorra.
III. A macro-drenagem inclui, além da micro-drenagem, as galerias de grande porte e os corpos receptores tais como canais e rios canalizados.
É correto afirmar que:
Provas
Questão presente nas seguintes provas
Dado o problema abaixo, admitindo o sentido positivo do eixo de coordenadas, no ponto A momento fletor e a reação no apoio são respectivamente:

Provas
Questão presente nas seguintes provas
A maneira habitual e constante de agir peculiar a cada indivíduo, ou ao atributo funcional responsável pela vontade, pelos conceitos éticos e morais, caracteriza o termo:
Provas
Questão presente nas seguintes provas
Cadernos
Caderno Container