Foram encontradas 190 questões.
Provas

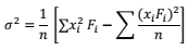
A turma do primeiro ano do curso de ciências atuariais tem 40 alunos, distribuídos nessa tabela por idade, sendo xi a idade do aluno e Fi o total de alunos com a idade xi.
Sabendo-se que a variância populacional é dada por

é correto afirmar que o desvio-padrão é
Provas
- FundamentosAnálise de Tabelas e GráficosGráfico de Colunas ou Barras Justapostas
- Estatística DescritivaMedidas de Tendência Central

A turma do primeiro ano do curso de ciências atuariais tem 40 alunos, distribuídos nessa tabela por idade, sendo xi a idade do aluno e Fi o total de alunos com a idade xi.
De acordo com a tabela, a média da idade dos alunos dessa turma é
Provas
Seja
o
intervalo de confiança para a média populacional com
variância populacional σ2
conhecida. De uma amostra
aleatória com n = 100 observações, com σ2 = 100, apurou-se
média amostral igual a 68,5. Sabendo que α = 5%, assinale a
alternativa que indica o intervalo de 95% para a µ.
Provas
- Gestão de PessoasGrupos e Equipes de TrabalhoComportamento Organizacional e Trabalho em Equipe
- Gestão Estratégica
Considerando o contexto de uma equipe de trabalho, a definição apresentada refere-se a
Provas
- Gestão Estratégica
- PODC: Processo OrganizacionalProcesso Administrativo: OrganizaçãoEstratégia Organizacional
Provas
Provas
- Gestão de PessoasGrupos e Equipes de TrabalhoComportamento Organizacional e Trabalho em Equipe
- Gestão Estratégica
Provas
Provas
Provas
Caderno Container