Foram encontradas 339 questões.
Na elaboração do Projeto Pedagógico de uma escola, há um conjunto de perguntas que, uma vez respondidas, ajudarão no planejamento das ações para a construção da realidade desejada.
Analise as perguntas a seguir e assinale a alternativa que apresenta as perguntas INCORRETAS.
Provas
- PODC: Processo OrganizacionalProcesso Administrativo: PlanejamentoPlanejamento Estratégico, Tático e OperacionalPlanejamento Estratégico
- PODC: Processo OrganizacionalProcesso Administrativo: PlanejamentoPlanejamento e Estratégia
Provas
Provas
Provas
Uma rede neural pode ser representada por um grafo direcionado chamado de sinal-fluxo (signal-flow).
O fluxo de sinais no grafo é definido pelas seguintes regras básicas, EXCETO:
Provas
A função de ativação, representada por φ(v), define a saída de um neurônio em termos do campo local induzido v.
São tipos básicos de funções de ativação, EXCETO:
Provas
Provas
O componente central de um agente baseado em conhecimento é sua base de conhecimento (knowledge base).
Em relação à base de conhecimento é CORRETO afirmar que
Provas
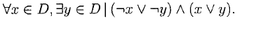
É CORRETO afirmar que a negação da afirmação
![]()
é
Provas
Analise as seguintes formas de argumento e assinale com V as válidas e com I as inválidas.

Assinale a alternativa que apresenta a sequência CORRETA.
Provas
Caderno Container