Foram encontradas 500 questões.
Nas galinhas, a cor de suas penas é determinada por dois pares
de genes. O gene A condiciona penas coloridas, enquanto que
o gene a, penas brancas. O gene B inibe a expressão do gene
A, enquanto seu alelo b não interfere na expressão. Esses dados
indicam que se trata de um caso de
Provas
Questão presente nas seguintes provas
Observe a figura e some o valor das afirmativas corretas.

(5) 1, 2, 3 e 4 são respectivamente: Dendritos, corpo celular, axônio e bainha de mielina.
(8) O sentido da condução do sinal nervoso dá-se de 1 a 2 a 3.
(15) A sinapse ocorre através do contato íntimo entre dois neurônios.
(20) Acetilcolina e noradrenalina são mediadores químicos liberados na sinapse.
(25) No fenômeno de despolarização, a carga da região intracelular torna-se negativa enquanto a carga da região extracelular, positiva.
O valor da soma é
Provas
Questão presente nas seguintes provas
Analise as afirmativas abaixo, sobre a reação da polimerase em
cadeia (PCR), e marque (V) para verdadeiro ou (F) para falso:
( ) A PCR amplifica regiões específicas do DNA. ( ) A PCR explora certas características do processo de replicação
do DNA.
( ) O molde de DNA de fita simples, utilizado na PCR, pode ser
obtido pelo aquecimento de uma fita dupla de DNA a temperaturas
próximas à ebulição.
( ) O ponto inicial, para cada síntese de DNA, pode ser determinado
pelo fornecimento de um oligonucleotídeo iniciador
que se liga ao molde naquele ponto.
( ) Na PCR, a DNA polimerase pode ser direcionada para sintetizar
uma região específica do DNA.
A sequência correta é
Provas
Questão presente nas seguintes provas
O acesso à informação de que trata a Lei n.º 12.527/2011 NÃO
compreende os direitos de obter informação
Provas
Questão presente nas seguintes provas
Antonio Gramsci (1976), na obra “Maquiavel, a Política e o Estado Moderno”, parte do princípio de que Maquiavel, em “O Princípe”, representou nas concepções e intervenções políticas de sua época uma ação política positiva. Dessa forma, Gramsci parte das ideias de Maquiavel para problematizar os seguintes conceitos, EXCETO:
Provas
Questão presente nas seguintes provas
Uma empresa possui uma dívida de R$ 20.000,00 vencível daqui a 60 dias. Prevendo que não terá caixa suficiente para honrar com o compromisso, ela apresenta ao credor a seguinte proposta: liquidação da dívida por meio de três pagamentos, R$ 5.000,00, pagos hoje, R$ 5.000,00 daqui a 30 dias e o restante 90 dias a contar da data do segundo pagamento. Utilize a taxa de juros compostos de 3% ao mês, a fim de equiparar a proposta à dívida original. O valor aproximado da última parcela da proposta, apresentada pelo devedor, será de
Provas
Questão presente nas seguintes provas
Com a intenção de trocar a frota de veículos, uma empresa realizará 60 depósitos mensais, consecutivos e iguais, no valor de R$ 10.000,00, a partir de hoje, num fundo de investimento que remunera a uma taxa de juros compostos de 1% ao mês. Sabendo-se que ela pretende sacar o montante dois meses após o último depósito, e que o mesmo permanecerá rendendo juros enquanto estiver aplicado, a previsão é que ela disponha de um valor aproximado para saque de
Provas
Questão presente nas seguintes provas
Um produto é vendido à vista por R$ 1.000,00, ou em dois pagamentos mensais, iguais e consecutivos. Sabendo-se que, para as vendas a prazo, é cobrada uma taxa de juro compostos de 60% ao ano, capitalizada mensalmente, e que a primeira prestação é paga 30 dias após a compra, o valor aproximado das prestações será de
Provas
Questão presente nas seguintes provas
Um investidor adquiriu ações da empresa Felicidade S/A, estimando receber anualmente R$ 0,50 e R$ 0,80 em dividendos por ação, ao final de cada um dos próximos dois anos. Admitindo-se que o valor previsto de venda, ao final do segundo ano, seja de R$ 10,00 por ação, e que o preço máximo a ser pago por essa ação hoje seja fixado em 30% a.a., a rentabilidade mínima desejada será de
Provas
Questão presente nas seguintes provas
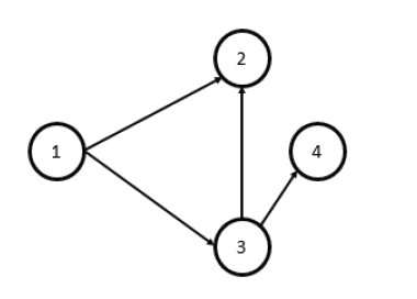
A partir da análise do grafo abaixo,

é correto afirmar que:
Provas
Questão presente nas seguintes provas
Cadernos
Caderno Container