Magna Concursos

Foram encontradas 160 questões.

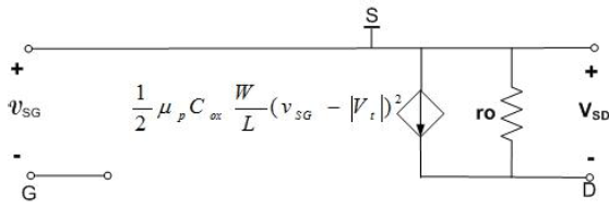
1326065 Ano: 2011
Disciplina: Engenharia Eletrônica
Banca: IF-SUL
Orgão: IF-SUL
Observe a figura em destaque.
Enunciado 1326065-1
O circuito representado na figura 8 é um modelo equivalente para
 

Provas

Questão presente nas seguintes provas
1325986 Ano: 2011
Disciplina: Engenharia de Alimentos
Banca: IF-SUL
Orgão: IF-SUL
Com relação ao serviço de mise en place nos restaurantes, é correto afirmar que a
 

Provas

Questão presente nas seguintes provas
1325884 Ano: 2011
Disciplina: Turismo
Banca: IF-SUL
Orgão: IF-SUL
Leia as afirmativas abaixo, no que se refere aos elementos do mercado turístico:
I. As principais características da demanda turística são sazonalidade, elasticidade e heterogeneidade.
II. As principais características da oferta turística são estrutura financeira rígida, instalações parcialmente utilizadas e sem elasticidade.
III. A vocação turística do núcleo receptor (município) pode dar origem à segmentação do turismo, como por exemplo, agroturismo, ecoturismo, turismo rural, esportivo, cultural, temático e religioso.
Está(ão) correta(s) a(s) afirmativa(s)
 

Provas

Questão presente nas seguintes provas
1325878 Ano: 2011
Disciplina: Agronomia (Engenharia Agronômica)
Banca: IF-SUL
Orgão: IF-SUL
Os principais problemas de conservação pós-colheita da uva Itália são a ocorrência de danos mecânicos, o escurecimento das bagas e a desidratação do engaço. Os danos mecânicos devem-se ao manuseio inadequado durante a colheita, a embalagem e o transporte, enquanto o escurecimento das bagas e a desidratação do engaço são desordens de natureza
 

Provas

Questão presente nas seguintes provas
1325815 Ano: 2011
Disciplina: Agronomia (Engenharia Agronômica)
Banca: IF-SUL
Orgão: IF-SUL
De acordo com a legislação atual, o vinho composto deverá conter, no mínimo, quanto por cento de vinho de mesa?
 

Provas

Questão presente nas seguintes provas
1325752 Ano: 2011
Disciplina: Agronomia (Engenharia Agronômica)
Banca: IF-SUL
Orgão: IF-SUL
A operação de remontagem permite, entre outros fatores, o de introduzir oxigênio exógeno ao mosto, paralelamente a essa ação haverá o incremento da maceração através da facilitação da extração dos seguintes constituintes
 

Provas

Questão presente nas seguintes provas
1325649 Ano: 2011
Disciplina: Engenharia Eletrônica
Banca: IF-SUL
Orgão: IF-SUL
Deseja-se usar um circuito com função de transferência H(!$ ω !$) para prevenir aliasing em um sinal de frequência máxima W, que será mostrado com taxa Fa e transmitido em código de pulsos. Sabendo-se disso, é correto afirmar que o
 

Provas

Questão presente nas seguintes provas
1325630 Ano: 2011
Disciplina: Turismo
Banca: IF-SUL
Orgão: IF-SUL
No que diz respeito ao planejamento, analise as afirmativas abaixo:
I. O planejamento estratégico no turismo deve ser utilizado em função da dinâmica do meio ambiente, da flexibilidade, da necessidade de sustentabilidade, da integração interna das empresas e da revitalização organizacional necessária do setor.
II. O turismo brasileiro não enfrenta problemas de planejamento de sua atividade, uma vez que, desde a década de 1950, atua com visão estratégica, posicionamento mercadológico e sustentabilidade em todas as modalidades de turismo.
III. O planejamento estratégico do turismo deve-se apoiar na participação de empresários interessados em desenvolver a atividade, priorizando somente os interesses setoriais, aceitando que sempre haverá aumento das desigualdades sociais, uma vez que o turismo não se envolve com tais problemáticas.
Está(ão) correta(s) a(s) afirmativa(s)
 

Provas

Questão presente nas seguintes provas
1325487 Ano: 2011
Disciplina: Engenharia Eletrônica
Banca: IF-SUL
Orgão: IF-SUL
Observando-se o espectro de um sinal digital constatou-se que ele tem distribuição em banda base, porém não apresenta componente DC nem em frequências próximas de zero hertz. Apenas baseando-se nessa informação que codificação NÃO poderia ter esse espectro?
 

Provas

Questão presente nas seguintes provas
1325482 Ano: 2011
Disciplina: Engenharia Elétrica
Banca: IF-SUL
Orgão: IF-SUL
Observe a figura.
Enunciado 1325482-1
De acordo com as definições de precisão e exatidão, é correto afirmar que os resultados de tiro ao alvo possuem
 

Provas

Questão presente nas seguintes provas