Foram encontradas 1.600 questões.
Observe a figura abaixo.

A figura acima mostra o circuito de força e de comando de uma chave de partida estrela-triângulo para um motor de indução trifásico.
Considere as afirmativas abaixo.
I. Quando as contatoras K1 e K3 estão ligadas, as bobinas do motor têm aproximadamente 58% da tensão que deveriam receber.
II. A função dos contatos auxiliares (21-22) de K2 é de evitar o religamento de K3, mesmo que acidental, assegurando, dessa forma, que as bobinas do motor não sejam colocadas em curto-circuito.
III. Este tipo de chave só pode ser usada para motores de no mínimo 9 bornes.
IV. Este tipo de chave é utilizado para partida de motores a plena carga.
Está(ão) correta(s) a(s) afirmativa(s)
Provas
Questão presente nas seguintes provas
O concreto celular é uma argamassa ou pasta celular. As células são obtidas pela introdução de ar ou de gás na pasta ou na argamassa de areia fina. Uma das diversas maneiras de introdução do ar na pasta se faz por
Provas
Questão presente nas seguintes provas
- Fundamentos de ProgramaçãoAlgoritmosConstrução de Algoritmos
- Fundamentos de ProgramaçãoEstruturas de Seleção
- Fundamentos de ProgramaçãoLógica de Programação
- Fundamentos de ProgramaçãoPseudocódigo
algoritmo
inteiro: A, B, C;
leia (A,B,C);
se ((A < B + C) e (B < A + C) e (C < A + B))
então
se ((A = B) e (B=C))
então
escreva (“Mensagem 2”);
senão
se ((A = B) ou (A = C) ou (B = C))
então
escreva (“Mensagem 3”);
senão
escreva (“Mensagem 4”);
fimse;
fimse;
senão
escreva (“Mensagem 1”);
fimse;
fimalgoritmo
A partir do algoritmo no quadro acima, qual a opção correta que preenche as mensagens 1, 2, 3 e 4, RESPECTIVAMENTE:
Provas
Questão presente nas seguintes provas
Os hidrocarbonetos policíclicos aromáticos são introduzidos no ambiente através de diversas fontes.
Sua ação carcinogênica está relacionada à presença de:
Provas
Questão presente nas seguintes provas
Observe as afirmações abaixo a respeito das possibilidades de controle de velocidade de um motor de indução trifásico de rotor de gaiola:
I. A alteração da freqüência da rede pode ser utilizada para o controle de velocidade.
II. Podemos modificar o numero de pólos do motor com um arranjo adequado dos enrolamentos.
III. A redução da tensão da rede aplicada ao motor diminui a velocidade do motor, pois teremos uma nova curva torque-velocidade.
Estão corretas as afirmativas
Provas
Questão presente nas seguintes provas
1398533
Ano: 2010
Disciplina: Administração de Recursos Materiais
Banca: IF-SUL
Orgão: IF-SUL
Disciplina: Administração de Recursos Materiais
Banca: IF-SUL
Orgão: IF-SUL
Provas:
Dizemos que o estoque, definido como sendo a quantificação de qualquer item ou recurso utilizado por uma organização é
Provas
Questão presente nas seguintes provas
1398523
Ano: 2010
Disciplina: TI - Organização e Arquitetura dos Computadores
Banca: IF-SUL
Orgão: IF-SUL
Disciplina: TI - Organização e Arquitetura dos Computadores
Banca: IF-SUL
Orgão: IF-SUL
Quais são os três firmwares básicos existentes em uma ROM?
Provas
Questão presente nas seguintes provas
O coeficiente de performance (COP) de uma instalação de refrigeração é um importante indicador de desempenho. A figura abaixo apresenta o esboço de um sistema de refrigeração com dois regimes diferentes de temperaturas.

Sabendo-se que o evaporador A possui uma temperatura de evaporação menor do que a do evaporador B, afirma-se que
Provas
Questão presente nas seguintes provas
Numere a coluna 2, que contém fragmentos narrativos, de acordo com a coluna 1, que contém as funções complementares do narrador.
Coluna 1
1 – função comunicativa
2 – função metanarrativa
3 – função testemunhal ou modalisante
4 – função explicativa
5 – função generalizante ou ideológica
Coluna 2
( ) “A memória dos que envelhecem (e que transmite aos filhos, aos sobrinhos, aos netos, a lembrança dos pequenos fatos que tecem a vida de cada indivíduo e do grupo com que ele estabelece contatos, correlações, aproximações, antagonismos, aflições, repulsas e ódios) é o elemento básico na construção da tradição familiar.” (NAVA, Pedro. Baú de ossos. 5. ed. Rio de Janeiro: José Olympio, 1978. p. 17.)
( ) “Miguel não era homem de têmpera a lutar contra a adversidade. O cativeiro e reclusão perene de sua filha, a miséria que se lhe antolhava acompanhada de mil angústias, eram para ele fantasmas hediondos, cujo aspecto não podia encarar sem sentir mortal pavor e abatimento. Não achou muito oneroso o preço pelo qual o desumano senhor, livrando-o da miséria, concedia liberdade à sua filha, e aceitou o convênio.” (GUIMARÃES, Bernardo. A escrava Isaura. 4. ed. São Paulo: FTD, 1998. p. 131.)
( ) “Deixemos Rubião na sala de Botafogo, batendo com as borlas do chambre nos joelhos e cuidando da bela Sofia. Vem comigo, leitor; vamos vê-lo, meses antes, à cabeceira do Quincas Borba.” (ASSIS, Machado de. Quincas Borba. Jaraguá do Sul: Avenida, 2005. p. 10.)
( ) “Quando Olímpico lhe dissera que terminaria deputado pelo Estado da Paraíba, ela ficou boquiaberta e pensou: quando nos casarmos então serei uma deputada? Não queria, pois deputada parecia nome feio. (Como eu disse, essa não é uma história de pensamentos.
Depois, provavelmente voltarei para as inominadas sensações, até sensações de Deus. Mas a história de Macabéa tem que sair senão eu estouro.)” (LISPECTOR, Clarice. A hora da estrela. 22. ed. Rio de Janeiro: Francisco Alves, 1993. p. 63.)
A sequência correta é:
Provas
Questão presente nas seguintes provas
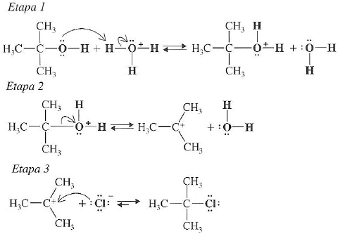
A reação do álcool terc-butílico com HCl aquoso concentrado acontece em três etapas, que são mostradas na figura abaixo.

Tem-se a atuação de um ácido de Lewis na etapa:
Provas
Questão presente nas seguintes provas
Cadernos
Caderno Container