Foram encontradas 816 questões.
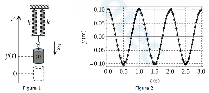
Em um experimento utilizando recursos de vídeo análise, um estudante de Física mediu a evolução temporal da posição vertical de um cilindro de massa \( m \) = 50 g preso a duas molas idênticas, que satisfazem à lei de Hooke, conforme ilustrado na Figura 1 abaixo. O cilindro é colocado para oscilar em torno da sua posição de equilíbrio. A posição vertical do cilindro em função do tempo também é apresentada na Figura 2 abaixo. Desprezando possíveis atritos e a resistência do ar, é correto afirmar que a constante elástica de cada uma das molas é:

Provas
As figuras abaixo apresentam três ciclos termodinâmicos diferentes representados em um diagrama de Temperatura—Entropia. Cada ciclo possui trajetórias distintas, envolvendo processos isotérmicos, adiabáticos e outros, que representam diferentes configurações de máquinas térmicas. Os rendimentos desses ciclos são definidos como \( \eta \)I, \( \eta \)II e \( \eta \)III, respectivamente.

Com base na análise das trajetórias e nas características de cada ciclo termodinâmico, qual das alternativas abaixo apresenta corretamente a relação comparativa entre esses rendimentos?
Provas
Pensando nas políticas de segurança do IFSertão, especialmente na proteção e integridade dos dados, analise as assertivas abaixo sobre tecnologias de armazenamento e práticas de backup:
I. Dispositivos como HDs externos e pen drives são recomendados para backups manuais de longo prazo em ambientes críticos.
II. O uso de soluções em nuvem permite backups automáticos, acesso remoto e maior resiliência contra falhas locais, mas pode gerar custos recorrentes mensais.
III. A criptografia de dados é recomendada para aumentar a segurança dos backups armazenados fora do ambiente físico da instituição.
IV. No backup diferencial, são copiados apenas os arquivos modificados desde o último backup incremental.
Quais estão corretas?
Provas
Uma quantidade de \( n \) moles de um gás ideal realiza um processo do estado inicial \( i \) para o estado final \( f \), conforme mostrado no diagrama \( P \) − \( V \) abaixo. As quantidades \( P \)0 e \( V \)0 representam os valores extrapolados da reta sobre os eixos pressão e volume, respectivamente. Considere \( R \) a constante universal dos gases ideais. Com base nos dados apresentados, analise as assertivas abaixo:

I. A pressão e o volume do gás em qualquer estado ao longo da transformação \( i \) → \( f \) satisfazem a relação \( P \)\( V \) = \( P \)0\( V \)0.
II. A temperatura do gás no processo \( i \) → \( f \) varia com o volume do gás de acordo com a expressão \( T \) = \( \dfrac{P_0V_0}{nR}\left(\dfrac{V}{V_0}\right)\left(1-\dfrac{V}{V_0}\right). \)
III. Considerando que o volume do gás começa muito próximo de zero (\( V \) → 0) e aumenta monotonamente até \( V \)0, a temperatura máxima possível que o gás pode atingir nesse processo é \( T \)máx = \( \dfrac{P_0V_0}{nR}. \)
Quais estão corretas?
Provas
A integridade e disponibilidade das informações são princípios fundamentais da segurança da informação. Para garantir esses objetivos, técnicas como backup, estratégias de cópias, e o uso de RAID (Redundant Array of Independent Disks) são amplamente utilizadas em ambientes corporativos. Com base nesse contexto, analise as assertivas a seguir:
I. O backup completo consiste na cópia integral de todos os arquivos selecionados, sendo ideal para recuperação total do sistema, embora exija maior espaço de armazenamento.
II. A estratégia de backup incremental copia apenas os arquivos modificados desde o último backup completo ou incremental, reduzindo o tempo e o espaço necessários, mas tornando a recuperação mais complexa.
III. A implementação de RAID 0 é recomendada para ambientes que exigem alta tolerância a falhas, pois os dados são espelhados entre dois ou mais discos.
IV. Para garantir a segurança dos dados, é recomendável armazenar cópias de segurança criptografadas e fora do ambiente de produção, como em dispositivos externos ou em nuvem.
Quais estão corretas?
Provas
O ácido benzoico é um composto orgânico simples, mas amplamente utilizado, conhecido por suas propriedades conservantes e sua presença natural em alguns alimentos. É um composto versátil, com aplicações que vão desde a conservação de alimentos até a síntese de produtos farmacêuticos. Em meio aquoso, ele sofre ionização segundo o seguinte equilíbrio:
C6H5COOH + H2O >≅ H3O+ + C6H5COO-
Considerando o equilíbrio acima e a adição ao sistema de benzoato de sódio, mantendo a temperatura constante, é correto afirmar que o equilíbrio deslocará para a
Provas
Uma organização pretende implementar projetos com uso de metodologias ágeis, visando melhorar a sua capacidade de resposta às mudanças. O foco dessa ação é o desenvolvimento de equipes enxutas, com estímulo à criatividade, colaboração entre clientes e participantes do projeto, e rapidez na geração de soluções funcionais. Um framework adequado a esse gerenciamento ágil de projetos, que divide o projeto em ciclos, com um tempo fixo, e tem sua execução de atividades em formato iterativo e incremental, faz parte de qual abordagem?
Provas
A proteção de sistemas e redes envolve a adoção de diversas ferramentas e práticas voltadas à prevenção, detecção e resposta a ameaças. Com base nesse contexto, analise as assertivas a seguir:
I. Um firewall atua como uma barreira de proteção entre redes, controlando o tráfego de entrada e saída com base em regras previamente definidas, podendo operar nos níveis de rede, transporte e aplicação.
II. Sistemas de prevenção de intrusão (IPS) são utilizados para identificar e alertar sobre comportamentos suspeitos na rede, mas não interferem no tráfego malicioso detectado.
III. A auditoria de segurança permite avaliar a conformidade das políticas adotadas, registrando eventos e acessos, sendo útil tanto para prevenção quanto para investigação de incidentes.
Quais estão corretas?
Provas
Um administrador, assessorando a equipe gestora em uma organização, ofereceu alternativas e projetos para a melhoria contínua da produtividade institucional. Assim, foi proposta a combinação das seguintes ferramentas: uma análise de prioridades, visando identificar riscos mais urgentes que podem afetar os objetivos estratégicos, e um método de melhoria da visualização do fluxo de trabalho, para aumentar a eficiência dos fluxos. Assinale a alternativa que apresenta, correta e respectivamente, a definição de cada um desses métodos.
Provas
Uma instituição pretende melhorar diversos dos seus indicadores de desempenho, porém precisa produzir análises que permitam identificar fatores relevantes para a empresa. A análise do ambiente organizacional que permite propor iniciativas estratégicas por meio da avaliação da adaptação entre a capacidade do ambiente da empresa (variáveis controláveis) e as circunstâncias do ambiente (variáveis não controláveis) é denominada de análise
Provas
Caderno Container