Foram encontradas 50 questões.
422435
Ano: 2015
Disciplina: Segurança e Saúde no Trabalho (SST)
Banca: BIO-RIO
Orgão: IF-RJ
Disciplina: Segurança e Saúde no Trabalho (SST)
Banca: BIO-RIO
Orgão: IF-RJ
Provas:
A fornece informações sobre vários aspectos dos produtos químicos (substâncias ou misturas) quanto à segurança, à saúde e ao meio ambiente; transmitindo desta maneira, conhecimentos sobre produtos químicos, recomendações sobre medidas de proteção e ações em situação de emergência.
A lacuna é corretamente preenchida por:
A lacuna é corretamente preenchida por:
Provas
Questão presente nas seguintes provas
Avalie se o RDC (Regime Diferenciado de Contratação) tem por objetivos:
I. Ampliar a eficiência nas contratações públicas e a competitividade entre os licitantes.
II. Promover a troca de experiências e tecnologias em busca da melhor relação entre custos e benefícios para o setor público.
III. Incentivar a inovação tecnológica.
VI. Assegurar economia através da contratação direta mais vantajosa para a administração pública.
Provas
Questão presente nas seguintes provas

No gerenciamento das propriedades de camada, o símbolo
(lâmpada apagada), indica que:
Provas
Questão presente nas seguintes provas

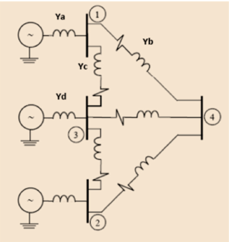
As expressões que traduzem os elementos da Y22 e Y14 da matriz de admitância nodal, respectivamente, são:
Provas
Questão presente nas seguintes provas

A tabela verdade que representa a programação ladder indicada é:
Provas
Questão presente nas seguintes provas
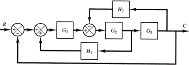
A função de transferência da malha de controle é:
Provas
Questão presente nas seguintes provas
São dispositivos utilizados como FACTS (Flexible AC Transmission Systems), EXCETO:
Provas
Questão presente nas seguintes provas
- Conversores Analógicos Digitais (AD) e Digitais Analógicos (DAC)
- Eletrônica Digital na Engenharia Eletrônica
Um chopper, também conhecido como regulador chaveado, é um tipo de:
Provas
Questão presente nas seguintes provas
De acordo com a ABNT NBR 5410, a seguinte afirmação está INCORRETA:
Provas
Questão presente nas seguintes provas
Potência em quadratura é um termo utilizado para nomear a potência que não produz trabalho útil; tal potência pode ser descrita como:
Provas
Questão presente nas seguintes provas
Cadernos
Caderno Container