Magna Concursos

Foram encontradas 50 questões.

421754 Ano: 2015
Disciplina: Engenharia Elétrica
Banca: BIO-RIO
Orgão: IF-RJ
Provas:
O fator de potência de uma instalação contendo fornos a arco e indução, conversores/inversores de frequência, lâmpadas fluorescentes e demais equipamentos com cargas não lineares deve ser calculado da seguinte maneira:
 

Provas

Questão presente nas seguintes provas
421753 Ano: 2015
Disciplina: Engenharia Elétrica
Banca: BIO-RIO
Orgão: IF-RJ
Provas:
Enunciado 421753-1


Dados: R1=4Ω ; R2=6Ω ; R3=6Ω ; R4=4Ω ; R5=4Ω ; R6=12Ω

A resistência equivalente vista pela fonte:
 

Provas

Questão presente nas seguintes provas
421752 Ano: 2015
Disciplina: Engenharia Elétrica
Banca: BIO-RIO
Orgão: IF-RJ
Provas:
Enunciado 421752-1


Dados:

f = 60 Hz, N1 = 4, N2 = 8 , B = 10 T, S = 0,04 m².

A tensão induzida no secundário do transformador é:
 

Provas

Questão presente nas seguintes provas
421751 Ano: 2015
Disciplina: Engenharia Elétrica
Banca: BIO-RIO
Orgão: IF-RJ
Provas:

Enunciado 421751-1

O esquema de aterramento do sistema indicado é:

 

Provas

Questão presente nas seguintes provas
421750 Ano: 2015
Disciplina: Engenharia Elétrica
Banca: BIO-RIO
Orgão: IF-RJ
Provas:

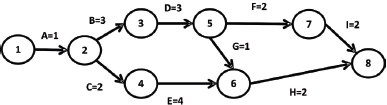
Considere o cronograma baseado no modelo PERT/CPM abaixo:

Enunciado 421750-1

O caminho crítico é determinado pelas atividades:

 

Provas

Questão presente nas seguintes provas
421749 Ano: 2015
Disciplina: Engenharia Elétrica
Banca: BIO-RIO
Orgão: IF-RJ
Provas:

Considere o seguinte circuito:

Enunciado 421749-1

No circuito, sendo a resistência interna a fonte igual a R1, a equação que traduz a transferência máxima de potência ao R2 é:

 

Provas

Questão presente nas seguintes provas
421748 Ano: 2015
Disciplina: Engenharia Elétrica
Banca: BIO-RIO
Orgão: IF-RJ
Provas:
Enunciado 421748-1


Dados:

Leitura do W1=300 W /Leitura do W3=- 300 W

Vab=480 ∠ 0º V

Considerando as tensões de linha equilibradas e em sequência abc, a potência total entregue a carga é de:
 

Provas

Questão presente nas seguintes provas
421745 Ano: 2015
Disciplina: Engenharia Elétrica
Banca: BIO-RIO
Orgão: IF-RJ
Provas:
“As vestimentas de trabalho devem ser adequadas às atividades, devendo contemplar a condutibilidade, inflamabilidade e influências eletromagnéticas." Este requisito é mencionado na:
 

Provas

Questão presente nas seguintes provas
421744 Ano: 2015
Disciplina: Engenharia Elétrica
Banca: BIO-RIO
Orgão: IF-RJ
Provas:
Das atividades e atribuições profissionais do engenheiro, do arquiteto e do engenheiro-agrônomo NÃO consta:
 

Provas

Questão presente nas seguintes provas
421743 Ano: 2015
Disciplina: Engenharia Elétrica
Banca: BIO-RIO
Orgão: IF-RJ
Provas:
Durante a execução de uma obra, o planejamento é essencial para atendimento do prazo e do custo. Tendo em vista que a conclusão de uma atividade representa um passo em direção à conclusão do projeto, o acompanhamento do progresso de atividades dentro do cronograma é representado por:
 

Provas

Questão presente nas seguintes provas