Foram encontradas 50 questões.
Provas
Provas
A seguinte série temporal representa o patrimônio líquido (em bilhões de reais) de uma empresa de 2002 a 2014. Supondo que o modelo linear seja apropriado para descrever a tendência da série.

Selecione a seguir os estimadores dos parâmetros da linha de tendência estimada para essa
série.
Provas
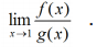
Considere as seguintes funções
e determine o limite
do quociente entre f(x) e g(x) para x tendendo para um (1), ou seja, determine o seguinte
limite 
Provas
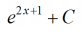
Selecione a alternativa que representa as primitivas de 
Provas
Texto II
A BUSCA PELO SUCESSO NÃO PODE VIRAROBSESSÃO
Felicidade não depende de bons resultadosno trabalho; é o contrário
Márcio Ferrari
A relação entre trabalho e felicidade costumaser encarada como causa e consequência,mas talvez não seja tão simples assim. Vide olivro, recém-lançado nos Estados Unidos, TheHappiness Track (“O caminho da felicidade”), deEmma Seppala, pesquisadora da UniversidadeStanford. A autora argumenta que o caminho éoutro: a felicidade abre portas para o sucessoprofissional e não o oposto. Em outras palavras,costumamos buscar felicidade no trabalho,quando, para trabalhar bem, o melhor é já serfeliz.
Satisfação no trabalho é possível e desejável,claro. O problema, segundo Seppala, não é ser“workaholic”, mas “successaholic”, o que levaà procura incessante de uma conquista atrásda outra, na esperança de que na próximafinalmente chegue a felicidade. A autora detectanisso um círculo perverso que acaba resultandoem exaustão e, como um tiro pela culatra,em desempenho medíocre no trabalho. Parapiorar, esse é um comportamento incentivadosocialmente. O vício em trabalho, diferentementede outros vícios, é enaltecido em nossa cultura,não só pela admiração dos pares, mas tambémpor meio de recompensas.
Além do reforço do ambiente, no entanto,há um mecanismo biológico que “recompensa”igualmente a corrida pelo sucesso no trabalho– e funciona de modo semelhante a todo vício.Uma conquista de qualquer tipo dispara umacarga do neurotransmissor dopamina no cérebro,provocando sensação de prazer. Até enviar ume-mail importante ou “ticar” uma tarefa concluídasão ações que podem acionar esse mecanismo. Enossa época, com celulares de trabalho que soammesmo nos horários de descanso, não ajuda nada.Em algum momento, a necessidade constante derealizar uma tarefa a mais tem consequências queafetam a saúde e o funcionamento da mente. Oresultado costuma ser estresse emocional, tensãonos relacionamentos e até cinismo. No trabalho,as consequências vão de queda na produtividadeà perda da capacidade de atenção.
Esse estado de coisas não é irremediável. Amudança necessária precisa se dar no âmbitoindividual e pode ser resumida a estar presenteem todos os momentos. Em vez de fazer váriascoisas ao mesmo tempo, Seppala recomendaque as coisas sejam feitas uma por vez. Osdividendos serão, depois de algum tempo, maiorsatisfação e produtividade. E há também aspequenas providências, como silenciar o celular,evitar as redes sociais e estabelecer para simesmo períodos de tempo para focar apenasnuma tarefa, sem nenhuma distração. Obsessão:o problema não é ser um “workaholic”, mas simum “successaholic”. Isso resulta em exaustão edesempenho medíocre no trabalho.
Publicado em: 31/05/2016
Texto adaptado. Disponível em: http://epocanegocios.globo.com/Carreira/
noticia/2016/05/busca-pelo-sucesso-nao-pode-virar-obsessao.html
Acesso em: 01/02/2018
Provas
Texto II
A BUSCA PELO SUCESSO NÃO PODE VIRAR OBSESSÃO
Felicidade não depende de bons resultados no trabalho; é o contrário
Márcio Ferrari
A relação entre trabalho e felicidade costuma ser encarada como causa e consequência, mas talvez não seja tão simples assim. Vide o livro, recém-lançado nos Estados Unidos, The Happiness Track (“O caminho da felicidade”), de Emma Seppala, pesquisadora da Universidade Stanford. A autora argumenta que o caminho é outro: a felicidade abre portas para o sucesso profissional e não o oposto. Em outras palavras, costumamos buscar felicidade no trabalho, quando, para trabalhar bem, o melhor é já ser feliz.
Satisfação no trabalho é possível e desejável, claro. O problema, segundo Seppala, não é ser “workaholic”, mas “successaholic”, o que leva à procura incessante de uma conquista atrás da outra, na esperança de que na próxima finalmente chegue a felicidade. A autora detecta nisso um círculo perverso que acaba resultando em exaustão e, como um tiro pela culatra, em desempenho medíocre no trabalho. Para piorar, esse é um comportamento incentivado socialmente. O vício em trabalho, diferentemente de outros vícios, é enaltecido em nossa cultura, não só pela admiração dos pares, mas também por meio de recompensas.
Além do reforço do ambiente, no entanto, há um mecanismo biológico que “recompensa” igualmente a corrida pelo sucesso no trabalho – e funciona de modo semelhante a todo vício. Uma conquista de qualquer tipo dispara uma carga do neurotransmissor dopamina no cérebro, provocando sensação de prazer. Até enviar um e-mail importante ou “ticar” uma tarefa concluída são ações que podem acionar esse mecanismo. E nossa época, com celulares de trabalho que soam mesmo nos horários de descanso, não ajuda nada. Em algum momento, a necessidade constante de realizar uma tarefa a mais tem consequências que afetam a saúde e o funcionamento da mente. O resultado costuma ser estresse emocional, tensão nos relacionamentos e até cinismo. No trabalho, as consequências vão de queda na produtividade à perda da capacidade de atenção.
Esse estado de coisas não é irremediável. A mudança necessária precisa se dar no âmbito individual e pode ser resumida a estar presente em todos os momentos. Em vez de fazer várias coisas ao mesmo tempo, Seppala recomenda que as coisas sejam feitas uma por vez. Os dividendos serão, depois de algum tempo, maior satisfação e produtividade. E há também as pequenas providências, como silenciar o celular, evitar as redes sociais e estabelecer para si mesmo períodos de tempo para focar apenas numa tarefa, sem nenhuma distração. Obsessão: o problema não é ser um “workaholic”, mas sim um “successaholic”. Isso resulta em exaustão e desempenho medíocre no trabalho.
Publicado em: 31/05/2016
Texto adaptado. Disponível em: http://epocanegocios.globo.com/Carreira/
noticia/2016/05/busca-pelo-sucesso-nao-pode-virar-obsessao.html
Acesso em: 01/02/2018
Provas
Texto I
SUCESSO TRAZ FELICIDADE?
Carol Castro
Se dar bem na vida não envolve necessariamente dinheiro. Pode ter a ver apenas com felicidade. Você pode ser feliz na maior parte do tempo, com pouca ou muita grana, sem se ser arrastado pelos perrengues da vida. Em troca, uma ironia: felicidade pode melhorar seu desempenho no trabalho – e, consequentemente, seu salário.
Só que só vale se for algo natural, desde que sua felicidade não dependa de fatores externos para acontecer. Não dá para contar com um bilhete premiado da loteria ou ser contratado pela empresa dos seus sonhos para ser feliz. Até porque, a cada meta alcançada, você inventa uma nova. Aí o êxtase passa e só dá para ser feliz de novo quando o próximo objetivo for concluído. E por pouco tempo.
É essa a primeira dica do americano Shawn Achor, especialista em psicologia positiva: sucesso não traz felicidade. Mas felicidade, essa sim, pode trazer sucesso.
É por isso que o modo como você enxerga o mundo importa. Segundo os estudos de Achor, inteligência e habilidades técnicas preveem apenas 25% do sucesso de alguém. Os outros 75% têm a ver com otimismo (que envolve felicidade), suporte social e a maneira de encarar o estresse.
Em um teste, ele mostrou a bancários estressados um vídeo sobre como ver estresse como desafio, e não como um problema. Todos eles colocaram o aprendizado em prática. Depois de observá-los por seis semanas, a equipe de Shawn notou que os sintomas de estresse haviam caído 23%. Os participantes relatavam estar mais felizes. Mas mais que isso: segundo Shawn, a mudança de postura fez com que os bancários se envolvessem e se empenhassem mais com o trabalho.
Na hora do aperto, aliás, contar com os amigos é importante. As pesquisas de Shawn mostram que o nível de conexões sociais é o melhor jeito de prever felicidade. Por isso, ter uma boa rede de amigos verdadeiros ajuda bastante.
E falta alguma coisa quando você sente uma felicidade quase plena e vive cercado por bons amigos? Aí é só alegria – no trabalho e em casa.
Publicado em: 22/04/2015
Texto adaptado. Disponível em: https://super.abril.com.br/blog/cienciamaluca/3-dicas-da-ciencia-para-se-dar-bem-na-vida/
acesso em: 01/02/2018
Provas
Texto II
A BUSCA PELO SUCESSO NÃO PODE VIRAR OBSESSÃO
Felicidade não depende de bons resultados no trabalho; é o contrário
Márcio Ferrari
A relação entre trabalho e felicidade costuma ser encarada como causa e consequência, mas talvez não seja tão simples assim. Vide o livro, recém-lançado nos Estados Unidos, The Happiness Track (“O caminho da felicidade”), de Emma Seppala, pesquisadora da Universidade Stanford. A autora argumenta que o caminho é outro: a felicidade abre portas para o sucesso profissional e não o oposto. Em outras palavras, costumamos buscar felicidade no trabalho, quando, para trabalhar bem, o melhor é já ser feliz.
Satisfação no trabalho é possível e desejável, claro. O problema, segundo Seppala, não é ser “workaholic”, mas “successaholic”, o que leva à procura incessante de uma conquista atrás da outra, na esperança de que na próxima finalmente chegue a felicidade. A autora detecta nisso um círculo perverso que acaba resultando em exaustão e, como um tiro pela culatra, em desempenho medíocre no trabalho. Para piorar, esse é um comportamento incentivado socialmente. O vício em trabalho, diferentemente de outros vícios, é enaltecido em nossa cultura, não só pela admiração dos pares, mas também por meio de recompensas.
Além do reforço do ambiente, no entanto, há um mecanismo biológico que “recompensa” igualmente a corrida pelo sucesso no trabalho – e funciona de modo semelhante a todo vício. Uma conquista de qualquer tipo dispara uma carga do neurotransmissor dopamina no cérebro, provocando sensação de prazer. Até enviar um e-mail importante ou “ticar” uma tarefa concluída são ações que podem acionar esse mecanismo. E nossa época, com celulares de trabalho que soam mesmo nos horários de descanso, não ajuda nada. Em algum momento, a necessidade constante de realizar uma tarefa a mais tem consequências que afetam a saúde e o funcionamento da mente. O resultado costuma ser estresse emocional, tensão nos relacionamentos e até cinismo. No trabalho, as consequências vão de queda na produtividade à perda da capacidade de atenção.
Esse estado de coisas não é irremediável. A mudança necessária precisa se dar no âmbito individual e pode ser resumida a estar presente em todos os momentos. Em vez de fazer várias coisas ao mesmo tempo, Seppala recomenda que as coisas sejam feitas uma por vez. Os dividendos serão, depois de algum tempo, maior satisfação e produtividade. E há também as pequenas providências, como silenciar o celular, evitar as redes sociais e estabelecer para si mesmo períodos de tempo para focar apenas numa tarefa, sem nenhuma distração. Obsessão: o problema não é ser um “workaholic”, mas sim um “successaholic”. Isso resulta em exaustão e desempenho medíocre no trabalho.
Publicado em: 31/05/2016
Texto adaptado. Disponível em: http://epocanegocios.globo.com/Carreira/
noticia/2016/05/busca-pelo-sucesso-nao-pode-virar-obsessao.html
Acesso em: 01/02/2018
Observe as frases a seguir:
a. O proprietário da padaria saiu.
b. O proprietário saiu da padaria.
Referente às frases apresentadas, analise as assertivas e assinale a alternativa que aponta a(s) correta(s).
I. Na frase a, “da padaria” é complemento nominal.
II. Na frase b, “da padaria” é adjunto adverbial.
III. Nas frases a e b, o significado se mantém.
IV. Nas frases a e b, “da padaria” exerce a mesma função sintática.
Provas
Texto II
A BUSCA PELO SUCESSO NÃO PODE VIRAR OBSESSÃO
Felicidade não depende de bons resultados no trabalho; é o contrário
Márcio Ferrari
A relação entre trabalho e felicidade costuma ser encarada como causa e consequência, mas talvez não seja tão simples assim. Vide o livro, recém-lançado nos Estados Unidos, The Happiness Track (“O caminho da felicidade”), de Emma Seppala, pesquisadora da Universidade Stanford. A autora argumenta que o caminho é outro: a felicidade abre portas para o sucesso profissional e não o oposto. Em outras palavras, costumamos buscar felicidade no trabalho, quando, para trabalhar bem, o melhor é já ser feliz.
Satisfação no trabalho é possível e desejável, claro. O problema, segundo Seppala, não é ser “workaholic”, mas “successaholic”, o que leva à procura incessante de uma conquista atrás da outra, na esperança de que na próxima finalmente chegue a felicidade. A autora detecta nisso um círculo perverso que acaba resultando em exaustão e, como um tiro pela culatra, em desempenho medíocre no trabalho. Para piorar, esse é um comportamento incentivado socialmente. O vício em trabalho, diferentemente de outros vícios, é enaltecido em nossa cultura, não só pela admiração dos pares, mas também por meio de recompensas.
Além do reforço do ambiente, no entanto, há um mecanismo biológico que “recompensa” igualmente a corrida pelo sucesso no trabalho – e funciona de modo semelhante a todo vício. Uma conquista de qualquer tipo dispara uma carga do neurotransmissor dopamina no cérebro, provocando sensação de prazer. Até enviar um e-mail importante ou “ticar” uma tarefa concluída são ações que podem acionar esse mecanismo. E nossa época, com celulares de trabalho que soam mesmo nos horários de descanso, não ajuda nada. Em algum momento, a necessidade constante de realizar uma tarefa a mais tem consequências que afetam a saúde e o funcionamento da mente. O resultado costuma ser estresse emocional, tensão nos relacionamentos e até cinismo. No trabalho, as consequências vão de queda na produtividade à perda da capacidade de atenção.
Esse estado de coisas não é irremediável. A mudança necessária precisa se dar no âmbito individual e pode ser resumida a estar presente em todos os momentos. Em vez de fazer várias coisas ao mesmo tempo, Seppala recomenda que as coisas sejam feitas uma por vez. Os dividendos serão, depois de algum tempo, maior satisfação e produtividade. E há também as pequenas providências, como silenciar o celular, evitar as redes sociais e estabelecer para si mesmo períodos de tempo para focar apenas numa tarefa, sem nenhuma distração. Obsessão: o problema não é ser um “workaholic”, mas sim um “successaholic”. Isso resulta em exaustão e desempenho medíocre no trabalho.
Publicado em: 31/05/2016
Texto adaptado. Disponível em: http://epocanegocios.globo.com/Carreira/
noticia/2016/05/busca-pelo-sucesso-nao-pode-virar-obsessao.html
Acesso em: 01/02/2018
Provas
Caderno Container