Foram encontradas 1.200 questões.
Um estudante de farmácia do quarto ano, fascinado pela área de alimentos, talvez porque vem de uma família produtora de leite. Ele ficou sabendo de uma ótima oportunidade de estágio, em um laboratório que faz análises de alimentos, especialmente de leite. Querendo realmente conseguir a referida vaga, decidiu, por conta própria, revisar e estudar as principais características desse alimento, bem com suas análises e principais adulterações.
Com base no caso apresentado, julgue os itens a seguir.
O leite é um alimento relativamente completo e possui na sua composição proteínas, lipídeos, carboidratos, que formam sistemas emulsificados, muito estáveis, inclusive frente à variação de temperatura.
Provas
A Portaria n° 1.820/2009, dispõe sobre os direitos e deveres dos usuários da saúde.
No que concerne a esse documento, julgue os itens a seguir.
Toda pessoa tem direito a participar dos conselhos e das conferências de saúde.
Provas
A Portaria n° 1.820/2009, dispõe sobre os direitos e deveres dos usuários da saúde.
No que concerne a esse documento, julgue os itens a seguir.
Nas situações de urgência/emergência, somente as unidades da Atenção Básica com Equipe de Saúde da Família deverão receber e cuidar da pessoa, bem como encaminhá-la para outro serviço no caso de necessidade.
Provas
Em situações nas quais a ingestão via oral é impossibilitada ou insuficiente, pacientes que sofreram trauma ou queimaduras podem se beneficiar do uso de terapia nutricional com o objetivo de minimizar o catabolismo proteico.
A respeito desse tema, julgue os itens a seguir.
Em situações de gastroparesia, de paciente com refluxo gastroesofágico e de risco de aspiração, a via de alimentação alternativa preferencial deve ser a intravenosa.
Provas
Um agricultor de 35 anos de idade, pai de dois filhos pequenos e, desde que se casou, cuida junto à sua mulher de sua fazenda onde geralmente plantam grãos. Preocupado com o rendimento da sua plantação, aceitou a oferta de conhecidos e adquiriu um pesticida que melhoraria a produtividade, mas que seria muito tóxico, o malation (1). Ele inicia a aplicação nas suas plantações, porém, mesmo utilizando uma máscara, após algum tempo, começa a se sentir mal. Demonstra excessiva salivação, lacrimejamento, broncoespasmos, bradicardia e instabilidade cardiovascular, tremores e fasciculação. Sua mulher, percebendo os sintomas, o leva rapidamente até um hospital, onde se iniciam os devidos tratamentos.


A respeito do caso apresentado, julgue os itens a seguir.
Adicionalmente aos sintomas de intoxicação, é provável que ele ao se observar suas pupilas elas devam estar significativamente dilatadas (midríase).
Provas
Em situações nas quais a ingestão via oral é impossibilitada ou insuficiente, pacientes que sofreram trauma ou queimaduras podem se beneficiar do uso de terapia nutricional com o objetivo de minimizar o catabolismo proteico.
A respeito desse tema, julgue os itens a seguir.
O acesso ao tubo digestivo para fins nutricionais pela inserção de sonda nasoentérica, por jejunostomia ou gastrostomia, deve ser considerado durante a laparotomia por trauma abdominal grave.
Provas
A Portaria n° 1.820/2009, dispõe sobre os direitos e deveres dos usuários da saúde.
No que concerne a esse documento, julgue os itens a seguir.
Não é permitida a visita, quando a pessoa estiver internada, de outros profissionais de saúde que não pertençam àquela unidade hospitalar.
Provas
Um agricultor de 35 anos de idade, pai de dois filhos pequenos e, desde que se casou, cuida junto à sua mulher de sua fazenda onde geralmente plantam grãos. Preocupado com o rendimento da sua plantação, aceitou a oferta de conhecidos e adquiriu um pesticida que melhoraria a produtividade, mas que seria muito tóxico, o malation (1). Ele inicia a aplicação nas suas plantações, porém, mesmo utilizando uma máscara, após algum tempo, começa a se sentir mal. Demonstra excessiva salivação, lacrimejamento, broncoespasmos, bradicardia e instabilidade cardiovascular, tremores e fasciculação. Sua mulher, percebendo os sintomas, o leva rapidamente até um hospital, onde se iniciam os devidos tratamentos.


A respeito do caso apresentado, julgue os itens a seguir.
A atropina também será útil para combater os sintomas relacionados ao sistema nervoso central, uma vez que possui na sua estrutura uma amina terciária, o que permite a passagem deste fármaco pela barreira hemato-encefálica.
Provas
Em situações nas quais a ingestão via oral é impossibilitada ou insuficiente, pacientes que sofreram trauma ou queimaduras podem se beneficiar do uso de terapia nutricional com o objetivo de minimizar o catabolismo proteico.
A respeito desse tema, julgue os itens a seguir.
A terapia nutricional enteral precoce oferece mais benefícios, ao reduzir complicações sépticas e risco de falência de múltiplos órgãos, quando comparada ao início tardio da oferta de nutrientes.
Provas
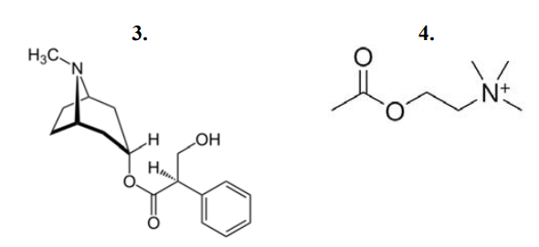
Um agricultor de 35 anos de idade, pai de dois filhos pequenos e, desde que se casou, cuida junto à sua mulher de sua fazenda onde geralmente plantam grãos. Preocupado com o rendimento da sua plantação, aceitou a oferta de conhecidos e adquiriu um pesticida que melhoraria a produtividade, mas que seria muito tóxico, o malation (1). Ele inicia a aplicação nas suas plantações, porém, mesmo utilizando uma máscara, após algum tempo, começa a se sentir mal. Demonstra excessiva salivação, lacrimejamento, broncoespasmos, bradicardia e instabilidade cardiovascular, tremores e fasciculação. Sua mulher, percebendo os sintomas, o leva rapidamente até um hospital, onde se iniciam os devidos tratamentos.


A respeito do caso apresentado, julgue os itens a seguir.
Além de antídotos, deve-se combater o excessivo estímulo colinérgico, por isto deve ser utilizado um anticolinérgico. A atropina (3) é o fármaco de escolha. A atropina é um alcaloide que, junto com a escopolamina, são encontrados na plana Atropa beladona. Trata-se de um anticolinérgico também devido à presença do sistema bicíclico na sua estrutura, justamente na porção análoga à acetilcolina (4).
Provas
Caderno Container