Foram encontradas 185 questões.
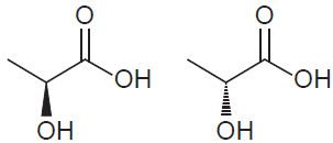
Várias características e propriedades de moléculas orgânicas podem ser inferidas analisando sua fórmula estrutural. Na natureza, alguns compostos apresentam a mesma fórmula molecular e diferentes fórmulas estruturais. São os chamados isômeros, como ilustrado nas estruturas.
Entre as moléculas apresentadas, observa-se a ocorrência de isomeria
Provas
Questão presente nas seguintes provas
Talvez julguem que isto são voos de imaginação: é possível. Como não dar largas à imaginação, quando a realidade vai tomando proporções quase fantásticas, quando a civilização faz prodígios, quando no nosso próprio país a inteligência, o talento, as artes, o comércio, as grandes ideias, tudo pulula, tudo cresce e se desenvolve?
Na ordem dos melhoramentos materiais, sobretudo, cada dia fazemos um passo, e em cada passo realizamos uma coisa útil para o engrandecimento do país.
ALENCAR, J. Ao correr da pena. Disponível em: www.dominiopublico.gov.br.
Acesso em: 12 ago. 2013.
No fragmento da crônica de José de Alencar, publicada em 1854, a temática nacionalista constrói-se pelo elogio ao(à)
Provas
Questão presente nas seguintes provas
Para que serve a tecnologia
Computador
“Com os computadores e a internet, mudei muito. A Lian de hoje é totalmente diferente daquela de antes da informática. Me abriu portas e, além de tudo, fui aceita por pessoas que achava que não iriam me aceitar. Com a internet, viajei o mundo. Fui até Portugal e à África. Eu nem sabia que lá a realidade era tão forte. Perto deles, estamos até muito bem.” – Tânia “Lian” Silva, 26, índia pankararu.
TV
“Eu gosto muito de televisão. Assisto às novelas, me divirto muito. Mas, ao mesmo tempo, sei que aquilo tudo que passa lá não é verdade. É tudo uma ilusão.” – Valentina Maria Vieira dos Santos, 89, índia fulni-ô da aldeia Xixi a cla.
MP3 Player
“Cuido do meu tocador de MP3 como se fosse um tesouro. É um pen drive simples, mas é muito especial para mim. Nele ouço músicas indígenas e bandas da própria aldeia. Ele vive emprestado porque acaba sendo a diversão da aldeia inteira. Uso até para exibir uns vídeos que baixo da internet. Basta colocar no aparelho de DVD com entrada USB que tenho.” – Jailton Pankararu, 23, índio pankararu.
Disponível em: www2.uol.com.br. Acesso em: 1 ago. 2012.
Os depoimentos apresentados no texto retratam o modo como diferentes gerações indígenas relatam suas experiências com os artefatos tecnológicos. Os comentários revelam
Provas
Questão presente nas seguintes provas
A recente crise generalizada que se instalou na primeira república negra do mundo não pode ser entendida de forma pontual e simplória. É necessário compreender sua história, marcada por intervenções, regimes ditatoriais, corrupção e desastres ambientais, originando a atual realidade socioeconômica e política do Haiti.
MORAES, I. A.; ANDRADE, C. A. A.; MATTOS, B. R. B. A imigração haitiana para o Brasil:
causas e desafios. Conjuntura Austral, n. 20, 2013.
No contexto atual, os problemas enfrentados pelo Haiti resultaram em um expressivo fluxo migratório em direção ao Brasil devido ao seguinte fato:
Provas
Questão presente nas seguintes provas
O monóxido de carbono (CO) é um gás extremamente tóxico. Ele interfere no processo respiratório dos vertebrados, pois se o CO estiver presente no ar, haverá no sangue uma "competição" entre o CO e o !$ O_2 !$.
Infelizmente, grande parte da população convive diariamente com a presença desse gás, uma vez que ele é produzido em grandes quantidades.
Provas
Questão presente nas seguintes provas
O lazer é um fenômeno mundial, fruto da modernidade e das relações que se estabelecem entre o tempo de trabalho e o tempo do não trabalho. Os efeitos da industrialização e da globalização foram percebidos pela velocidade das mensagens veiculadas pela mídia, pela explosão das novas tecnologias da informação e comunicação, pela exacerbação do individualismo e competitividade, pelas mudanças no contexto social e também por uma crise nas relações de trabalho. Em meio a todas essas mudanças, o lazer apresenta-se como um conjunto de elementos culturais que podem ser vivenciados no tempo disponível, seja como atividade prática ou contemplativa.
SECRETARIA DA EDUCAÇÃO. Proposta curricular do estado de Minas Gerais, 6º ao 9º ano.
Disponível em: http://crv.educacao.mg.gov.br. Acesso em: 31 jul. 2012.
Na perspectiva conceitual assumida pelo texto, o lazer constitui-se por atividades que
Provas
Questão presente nas seguintes provas
As Artes Marciais Mistas, tradução do inglês: MMA - mixed martial arts, são realizadas num octógono regular. De acordo com a figura, em certo momento os dois lutadores estão respectivamente nas posições G e F, e o juiz está na posição I. O triângulo IGH é equilátero e GÎF é o ângulo formado pelas semirretas com origem na posição do juiz, respectivamente passando pelas posições de cada um dos lutadores.

A medida do ângulo GÎF é
Provas
Questão presente nas seguintes provas
Uma torneira do tipo !$ { \large 1 \over 4} !$ de volta é mais econômica, já que seu registro abre e fecha bem mais rapidamente do que o de uma torneira comum. A figura de uma torneira do tipo !$ { \large 1 \over 4} !$ de volta tem um ponto preto marcado na extremidade da haste de seu registro, que se encontra na posição fechado, e, para abri-lo completamente, é necessário girar a haste !$ { \large 1 \over 4} !$ de volta no sentido anti-horário. Considere que a haste esteja paralela ao plano da parede.

Qual das imagens, representa a projeção ortogonal, na parede, da trajetória traçada pelo ponto preto quando o registro é aberto completamente?
Provas
Questão presente nas seguintes provas
Glossário diferenciado
Outro dia vi um anúncio de alguma coisa que não lembro o que era (como vocês podem deduzir, o anúncio era péssimo). Lembro apenas que o produto era diferenciado, funcional e sustentável. Pensando nisso, fiz um glossário de termos diferenciados e suas respectivas funcionalidades.
Diferenciado: um adjetivo que define um substantivo mas também o sujeito que o está usando. Quem fala “diferenciado” poderia falar “diferente”. Mas escolheu uma palavra diferenciada. Porque ele quer mostrar que ele próprio é “diferenciado”. Essa é a função da palavra “diferenciado”: diferenciar-se. Por diferençado, entenda: “mais caro”. Estudos indicam que a palavra “diferenciado” representa um aumento de 50% no valor do produto. É uma palavra que faz a diferença.
DUVIVIER, G. Disponível em: www1.folha.uol.com.br. Acesso em: 17 nov. 2014 (adaptado).
Os gêneros são definidos, entre outros fatores, por sua função social. Nesse texto, um verbete foi criado pelo autor para
Provas
Questão presente nas seguintes provas
Incivismo
Pasear por el centro de Barcelona (España) de noche implica, a ciencia cierta, tropezarse con, por ejemplo, jóvenes bebiendo en portales y plazas, con alguno de ellos aliviando la vejiga en las esquinas... La orden para la policía local ha sido la de multiplicar la ofensiva contra la falta de civismo, combatiéndose también, por lo tanto, las molestias callejeras que perturban el sueño. Y, aunque no hay milagros, las cifras ya constatan el esfuerzo de este año por poner un freno. Con respecto a las molestias (ruidos, peleas, música a altas horas en la vía pública), las multas se han multiplicado por cuatro. Las multas por consumir alcohol en la calle superan ya las 5 000 este verano.
CASTÁN, P. Disponível em: www.elperiodico.com. Acesso em: 25 ago. 2011 (adaptado).
Para combater a falta de civismo, a polícia da cidade de Barcelona tem
Provas
Questão presente nas seguintes provas
Cadernos
Caderno Container