Foram encontradas 185 questões.
Alguns brasileiros têm o hábito de trocar de carro a cada um ou dois anos, mas essa prática nem sempre é um bom negócio, pois o veículo desvaloriza com o uso. Esse fator é chamado de depreciação, sendo maior nos primeiros anos de uso.
Uma pessoa realizou uma pesquisa sobre o valor de mercado dos dois veículos (X e Y) que possui. Colocou os resultados obtidos em um mesmo gráfico, pois os veículos foram comprados juntos.

Após a pesquisa, ela decidiu vender os veículos no momento em que completarem quatro anos de uso.
Disponível em: www.carrosnaweb.com.br. Acesso em: 3 ago. 2012 (adaptado).
Considerando somente os valores de compra e de venda dos veículos por essa pessoa, qual a perda, em reais, que ela terá?
Provas
Questão presente nas seguintes provas
Desde luego que para quienes continuamos escribiendo en quechua, en aymara o en las lenguas amazónicas, o recreamos en castellano el subyugante universo andino, el mayor obstáculo es, sin duda, el lenguaje: cómo hacer verosímil — mediante la palabra — lo que de por sí es increíble en ese arcano territorio donde las fronteras entre vida/muerte, mundo natural/sobrenatural, no existen y es común, más bien, toparse en un cruce de caminos con un ángel andariego o recibir, tal vez, en una siembra de papas, la visita inesperada de un familiar muerto que viene — del más allá — a prevenirnos sobre el clima o porque simplemente tiene sed y desea un poco de chicha de maíz. No obstante a ello, la poesía quechua contemporánea, la escrita por Alencastre por ejemplo, tiene autor y códigos propios y ya no más ese carácter colectivo, anónimo y oral de los inicios, cuando estaba conformada por oraciones e himnos que, de acuerdo a su naturaleza, eran wawakis (invocaciones para enterrar a un infante muerto), hayllis (poesía épica), harawis (poesía amorosa), qhaswas (cantos de regocijo), wankas, entre otros. Ni siquiera la luminosa personalidad de José María Arguedas confinó al limbo al poeta Alencastre, de quien dijo era el más grande poeta quechua del siglo XX.
GONZÁLEZ, O. Disponível em: www.lenguandina.org. Acesso em: 30 jul. 2012.
Segundo Odi González, embora seja difícil dar verossimilhança ao universo cultural andino ao escrever em línguas indígenas ou em castelhano, nos dias de hoje, a poesia quíchua
Provas
Questão presente nas seguintes provas
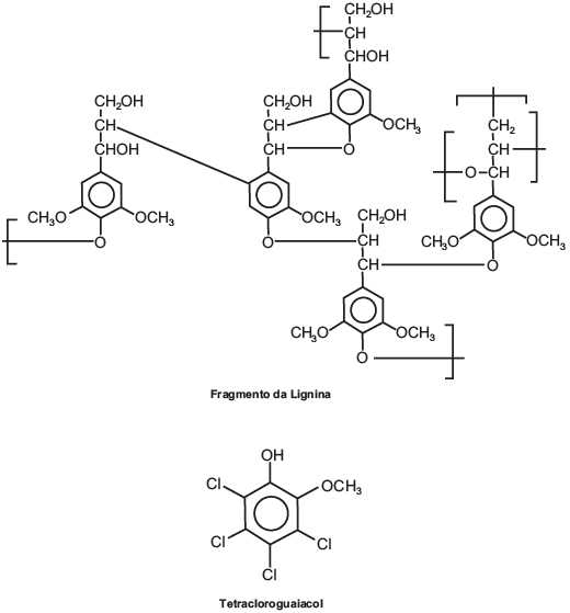
O papel tem na celulose sua matéria-prima, e uma das etapas de sua produção é o branqueamento, que visa remover a lignina da celulose. Diferentes processos de branqueamento usam, por exemplo, cloro !$ (Cl_2) !$, hipoclorito de sódio !$ (NaClO) !$, oxigênio !$ (O_2) !$, ozônio !$ (O_3) !$ ou peróxido de hidrogênio !$ (H_2O_2) !$. Alguns processos de branqueamento levam à formação de compostos organoclorados. São apresentadas as estruturas de um fragmento da lignina e do tetracloroguaiacol, um dos organoclorados formados no processo de branqueamento.

SANTOS, C. P. et al. Papel: como se fabrica? Química Nova na Escola, n. 14, 2001 (adaptado).
Os reagentes capazes de levar à formação de organoclorados no processo citado são
Provas
Questão presente nas seguintes provas
A utilidade do escravo é semelhante à do animal. Ambos prestam serviços corporais para atender às necessidades da vida. A natureza faz o corpo do escravo e do homem livre de forma diferente. O escravo tem corpo forte, adaptado naturalmente ao trabalho servil. Já o homem livre tem corpo ereto, inadequado ao trabalho braçal, porém apto à vida do cidadão.
ARISTÓTELES. Política. Brasília: UnB, 1985.
O trabalho braçal é considerado, na filosofia aristotélica, como
Provas
Questão presente nas seguintes provas
LEONILSON. O recruta, o aranha e o penélope. Bordado sobre tecido, 1992.
Disponível em: www.projetoleonilson.com.br. Acesso em: 3 ago. 2012.
A obra do artista plástico Leonilson (1953-1993) marca presença no panorama da arte brasileira e internacional. Nessa obra, ele utilizou a habilidade técnica do bordado manual para
Provas
Questão presente nas seguintes provas

Disponível em: http://portal.saude.gov.br. Acesso em: 31 jul. 2012.
Campanhas educativas têm o propósito de provocar uma reflexão em torno de questões sociais de grande relevância, tais como as relacionadas à cidadania e também à saúde. Com a imagem de um relógio despertador e o slogan “Sempre é hora de combater a dengue", a Campanha Nacional de Combate à Dengue objetiva convencer a população de que é preciso
Provas
Questão presente nas seguintes provas
Um granjeiro detectou uma infecção bacteriológica em sua criação de 100 coelhos. A massa de cada coelho era de, aproximadamente, 4 kg. Um veterinário prescreveu a aplicação de um antibiótico, vendido em frascos contendo 16 mL, 25 mL, 100 mL, 400 mL ou 1 600 mL. A bula do antibiótico recomenda que, em aves e coelhos, seja administrada uma dose única de 0,25 mL para cada quilograma de massa do animal.
Para que todos os coelhos recebessem a dosagem do antibiótico recomendada pela bula, de tal maneira que não sobrasse produto na embalagem, o criador deveria comprar um único frasco com a quantidade, em mililitros, igual a
Provas
Questão presente nas seguintes provas

Disponível em: www.mspas.gob.sv. Acesso em: 14 dez. 2009.
Os programas de prevenção à dengue não estão restritos a cidades brasileiras. No material elaborado sobre esse tema pelo Ministério da Saúde de El Salvador, país da América Central, objetiva-se
Provas
Questão presente nas seguintes provas
A fenilcetonúria é uma doença hereditária autossômica recessiva, associada à mutação do gene PAH, que limita a metabolização do aminoácido fenilalanina. Por isso, é obrigatório, por lei, que as embalagens de alimentos, como refrigerantes dietéticos, informem a presença de fenilalanina em sua composição. Uma mulher portadora de mutação para o gene PAH tem três filhos normais, com um homem
normal, cujo pai sofria de fenilcetonúria, devido à mesma mutação no gene PAH encontrada em um dos alelos da mulher.
Qual a probabilidade de a quarta criança gerada por esses pais apresentar fenilcetonúria?
Provas
Questão presente nas seguintes provas
Um paciente precisa ser submetido a um tratamento, sob orientação médica, com determinado medicamento. Há cinco possibilidades de medicação, variando a dosagem e o intervalo de ingestão do medicamento. As opções apresentadas são:
A: um comprimido de 400 mg, de 3 em 3 horas, durante 1 semana;
B: um comprimido de 400 mg, de 4 em 4 horas, durante 10 dias;
C: um comprimido de 400 mg, de 6 em 6 horas, durante 2 semanas;
D: um comprimido de 500 mg, de 8 em 8 horas, durante 10 dias;
E: um comprimido de 500 mg, de 12 em 12 horas, durante 2 semanas.
Para evitar efeitos colaterais e intoxicação, a recomendação é que a quantidade total de massa da medicação ingerida, em miligramas, seja a menor possível.
Seguindo a recomendação, deve ser escolhida a opção
Provas
Questão presente nas seguintes provas
Cadernos
Caderno Container