Foram encontradas 100 questões.
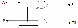
Analise a porta lógica abaixo e assinale a alternativa que corresponde à função lógica.

Provas
Uma bobina possui fluxo magnético (\( \phi \)) de 1200μWb e área (A) de 0,0004m2. Calcule a densidade de fluxo magnético (B), em teslas (T), da bobina e assinale a alternativa correta.
Provas
Em dispositivos de memória, qual o significado de SRAM?
Provas
Avalie as afirmações abaixo sobre as formas de ligar um Retificador Controlado de Silício (SCR).
I- Redução significativa da temperatura do dispositivo.
II- Aumento da tensão anodo-catodo até atingir o valor de ruptura.
III- Disparo pela porta.
IV- Técnica de comutação forçada.
Está correto o que se afirma em
Provas
“Sistema que consiste em variar a posição do pulso de portadora, proporcionalmente ao sinal modulante, mantendo constantes a amplitude e a largura dos pulsos.” A assertiva se refere a que tipo de modulação?
Provas
Com relação à lei de Ohm, marque V para verdadeiro e F para falso. Em seguida, assinale a alternativa com a sequência correta.
( ) A lei de Ohm define a relação entre a corrente, a tensão, a resistência e a potência.
( ) A tensão aplicada a um circuito é igual ao produto da corrente pela potência do circuito.
( ) A corrente num circuito é igual à tensão aplicada ao circuito dividida pela resistência do circuito.
( ) A resistência de um circuito é igual à tensão aplicada ao circuito dividida pela corrente que passa pelo circuito.
Provas
Qual a função do circuito abaixo?

Provas
Assinale a alternativa que representa o espectro de frequência abaixo.

Provas
No período “O professor exigia que todos comparecessem à palestra.”, a oração em destaque adquire valor sintático de
Provas
Assinale a alternativa que apresenta outra forma de se fazer a oração de voz passiva contida no período que segue, sem se alterar os termos sintáticos nela presentes: A civilização pós-moderna culminou em um progresso inegável, que não foi percebido antecipadamente, em sua inteireza.
Provas
Caderno Container