Foram encontradas 460 questões.
1373867
Ano: 2016
Disciplina: TI - Redes de Computadores
Banca: DIRENS Aeronáutica
Orgão: EEAr
Disciplina: TI - Redes de Computadores
Banca: DIRENS Aeronáutica
Orgão: EEAr
Provas:
Entre os vários serviços possíveis em uma rede, está o Telnet. A respeito do serviço Telnet, podemos afirmar que
Provas
Questão presente nas seguintes provas
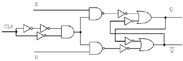
Observe o circuito abaixo.

É incorreto afirmar que
Provas
Questão presente nas seguintes provas
Relacione os itens abaixo. Em seguida, assinale a alternativa com a sequência correta.
1 – Geóide
2 – Elipsóide
( ) Formado quando uma elipse é rotacionada em torno de seu eixo menor.
( ) Definido como uma figura hipotética que representa o nível médio dos mares.
( ) Equipotencial, pois o potencial devido à gravidade é igual em todos os pontos sobre a sua superfície.
Provas
Questão presente nas seguintes provas
assinale a alternativa que completa corretamente a sentença abaixo:
O flip-flop é disparado por um detetor de borda ______________ do sinal de clock e apresenta valores de S e R que resultam em uma saída Q ambígua para _______________.

Provas
Questão presente nas seguintes provas
Leia o poema abaixo, do poeta Mário Quintana.
Inscrição para um portão de cemitério
Na mesma pedra se encontram,
Conforme o povo traduz,
Quando se nasce - uma estrela,
Quando se morre - uma cruz.
Mas quantos que aqui repousam
Hão de emendar-nos assim:
“Ponha-me a cruz no princípio...
E a luz da estrela no fim.”
Analisando as figuras de linguagem presentes nesses versos, é incorreto afirmar que
Provas
Questão presente nas seguintes provas
No circuito abaixo, qual é o valor da resistência RL que produzirá uma transferência máxima de potência?

Provas
Questão presente nas seguintes provas
Assinale a alternativa que apresenta a afirmação correta sobre a base de macadame betuminoso (base negra).
Provas
Questão presente nas seguintes provas
Qual a Forma de Estado adotada no Brasil?
Provas
Questão presente nas seguintes provas
Leia:
“Durante a risada, ocorre a liberação da serotonina, um dos neurotransmissores responsáveis pela sensação de bem-estar.”
Em qual alternativa o termo destacado exerce a mesma função sintática de pela sensação de bem-estar?
Provas
Questão presente nas seguintes provas
Em um determinado amplificador a corrente na carga varia durante os 360º do ciclo de entrada. Isso significa que esse amplificador opera na seguinte classe:
Provas
Questão presente nas seguintes provas
Cadernos
Caderno Container