Foram encontradas 50 questões.
De acordo com a Lei 9.784/99, que regula o processo administrativo no âmbito da Administração Pública Federal, analise as assertivas e assinale a alternativa que aponta a(s) correta(s).
I. A Administração deve anular seus próprios atos, quando eivados de vício de legalidade, e pode revogá-los por motivo de conveniência ou oportunidade, respeitados os direitos adquiridos.
II. O direito da Administração de anular os atos administrativos de que decorram efeitos favoráveis para os destinatários decai em cinco anos, contados da data em que foram praticados, salvo comprovada má-fé.
III. No caso de efeitos patrimoniais contínuos, o prazo de decadência contar-se-á da percepção do primeiro pagamento.
IV. Em decisão na qual se evidencie não acarretarem lesão ao interesse público nem prejuízo a terceiros, os atos que apresentarem defeitos sanáveis poderão ser convalidados pela própria Administração.
Provas
- ProlegômenosPrincípios da Administração PúblicaPrincípios Expressos
- ProlegômenosRegime Jurídico Administrativo
Provas
Provas
Provas
Disciplina: Direito Educacional e Tecnológico
Banca: AOCP
Orgão: Col. Pedro II
I. O Colégio Pedro II é instituição federal de ensino, pluricurricular e multicampi, vinculada ao Ministério da Educação e especializada na oferta de educação básica e de licenciaturas.
II. O Colégio Pedro II possui natureza jurídica de empresa pública que, embora não seja detentora de autonomia administrativa, patrimonial, financeira, possui autonomia didático-pedagógica e disciplinar.
III. O Colégio Pedro II é equiparado aos institutos federais para efeito de incidência das disposições que regem a autonomia e a utilização dos instrumentos de gestão do quadro de pessoal e de ações de regulação, avaliação e supervisão das instituições e dos cursos de educação profissional e superior.
IV. As unidades escolares que atualmente compõem a estrutura organizacional do Colégio Pedro II passam de forma automática, independentemente de qualquer formalidade, à condição de campi da instituição.
Provas
Qual foi o valor pago por uma família que consumiu 34 m3 ?
Provas
Qual é o valor da expressão 
Provas
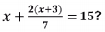
Qual é o resultado da equação 
Provas
MICHAEL STIVELMAN
Empresário, 84 anos. É presidente do banco Cédula. Sobrevivente
do Holocausto, escreveu os livros A marca dos genocídios e A marcha.
“Eu não só vi o Holocausto: eu o vivi. E sobrevivi para contar. Fui um dos poucos de uma família de 79 pessoas. Foi em julho de 1941 que os soldados alemães chegaram ao nosso povoado: Secureni, que ficava na então Bessarábia (hoje território da Ucrânia). Não demorou a vir pelos altofalantes a ordem para que todos os judeus se reunissem na manhã seguinte, na praça próxima ao cemitério judaico. Devíamos levar nossos pertences e mantimentos. Quem não obedecesse seria fuzilado. Começou ali nossa marcha de 1.500 quilômetros - que fizemos sujos, doentes e famintos. Marchar longas distâncias era uma das formas que os nazistas usavam para exterminar os judeus. Aprendemos a aceitar a morte, de tão corriqueira.
Como sobrevivi? Graças aos valentes do povo ucraniano, que correram risco para salvar inocentes. Já em outubro daquele ano, na Ucrânia, minha mãe perdeu as forças em decorrência do tifo, uma doença comum durante a guerra. Conseguimos nos esconder numa vala. Com medo de que fôssemos descobertos, ela me pediu para abandoná-la. A decisão era complicada - me salvar, abandonando-a, ou ficar e correr o risco de ser capturado e morto. Eu fiquei. Ao anoitecer, vimos luzes em um povoado. Batemos numa porta, que foi aberta por uma mulher e sua filha, as duas cristãs. Comovidas com nossa história, elas nos acolheram e ficamos escondidos.
Em setembro de 1941, eu, minha mãe e meu pai passávamos perto de uma floresta. Lembro ainda das trincheiras cavadas e do cheiro de corpos em decomposição. Soldados convocavam homens mais velhos para ajudar na limpeza da estrada. Era mentira. Meu pai foi. Estava magro, com semblante abatido - lembro ainda que conversou alguns minutos com minha mãe. Beijou-me várias vezes e pediu que cuidasse dela. Nunca mais o vi. Foi fuzilado e jogado numa vala comum. Em 1944, depois de o Exército russo libertar os judeus, voltei ao lugar onde ele tinha morrido. Era primavera e tudo florescia na floresta - mas eu só me lembrava do dia cinza de anos atrás. Disse então um kadish, a prece milenar dos órfãos e enlutados judeus, com três anos de atraso.
Mas este não é um depoimento só de tristeza. Hitler quis construir um império de 1.000 anos. Não durou nem 15. Eu pude reconstruir minha vida no Brasil, esta terra abençoada. Minha história é prova de que é possível seguir em frente, mesmo que tenha lembranças tão terríveis como a do Holocausto. Como se faz isso? Vivendo um dia de cada vez, apoiando-se no amor que sentimos por nossa família. Não me esqueci do que passei. Ainda tenho pesadelos. Mas isso não encerrou minha vida. Encontrei o amor, tive meus filhos e reencontrei a alegria. Vim para o Brasil com minha mãe, quando eu tinha 20 anos. Parte de minha família já tinha se estabelecido no Recife e no Rio de Janeiro desde 1906. Escolhi o Rio. Quando cheguei, trabalhei como vendedor ambulante, batendo de porta em porta. Ainda me lembro da primeira venda: um cordão de ouro com uma medalha e um relógio. A dívida era registrada num cartão, com a data da cobrança.
Passei 50 anos sem falar nesse assunto. Hoje, penso que tenho obrigação de divulgar as atrocidades cometidas pelos nazistas contra os judeus, ciganos e outros povos. Histórias como a que vivi são uma bandeira para lutarmos por um mundo que respeite as diferenças.”
Adaptado de http://revistaepoca.globo.com/Vida-util/noticia/2012/01/vivi-depois-do-holocausto.html
Provas
MICHAEL STIVELMAN
Empresário, 84 anos. É presidente do banco Cédula. Sobrevivente
do Holocausto, escreveu os livros A marca dos genocídios e A marcha.
“Eu não só vi o Holocausto: eu o vivi. E sobrevivi para contar. Fui um dos poucos de uma família de 79 pessoas. Foi em julho de 1941 que os soldados alemães chegaram ao nosso povoado: Secureni, que ficava na então Bessarábia (hoje território da Ucrânia). Não demorou a vir pelos altofalantes a ordem para que todos os judeus se reunissem na manhã seguinte, na praça próxima ao cemitério judaico. Devíamos levar nossos pertences e mantimentos. Quem não obedecesse seria fuzilado. Começou ali nossa marcha de 1.500 quilômetros - que fizemos sujos, doentes e famintos. Marchar longas distâncias era uma das formas que os nazistas usavam para exterminar os judeus. Aprendemos a aceitar a morte, de tão corriqueira.
Como sobrevivi? Graças aos valentes do povo ucraniano, que correram risco para salvar inocentes. Já em outubro daquele ano, na Ucrânia, minha mãe perdeu as forças em decorrência do tifo, uma doença comum durante a guerra. Conseguimos nos esconder numa vala. Com medo de que fôssemos descobertos, ela me pediu para abandoná-la. A decisão era complicada - me salvar, abandonando-a, ou ficar e correr o risco de ser capturado e morto. Eu fiquei. Ao anoitecer, vimos luzes em um povoado. Batemos numa porta, que foi aberta por uma mulher e sua filha, as duas cristãs. Comovidas com nossa história, elas nos acolheram e ficamos escondidos.
Em setembro de 1941, eu, minha mãe e meu pai passávamos perto de uma floresta. Lembro ainda das trincheiras cavadas e do cheiro de corpos em decomposição. Soldados convocavam homens mais velhos para ajudar na limpeza da estrada. Era mentira. Meu pai foi. Estava magro, com semblante abatido - lembro ainda que conversou alguns minutos com minha mãe. Beijou-me várias vezes e pediu que cuidasse dela. Nunca mais o vi. Foi fuzilado e jogado numa vala comum. Em 1944, depois de o Exército russo libertar os judeus, voltei ao lugar onde ele tinha morrido. Era primavera e tudo florescia na floresta - mas eu só me lembrava do dia cinza de anos atrás. Disse então um kadish, a prece milenar dos órfãos e enlutados judeus, com três anos de atraso.
Mas este não é um depoimento só de tristeza. Hitler quis construir um império de 1.000 anos. Não durou nem 15. Eu pude reconstruir minha vida no Brasil, esta terra abençoada. Minha história é prova de que é possível seguir em frente, mesmo que tenha lembranças tão terríveis como a do Holocausto. Como se faz isso? Vivendo um dia de cada vez, apoiando-se no amor que sentimos por nossa família. Não me esqueci do que passei. Ainda tenho pesadelos. Mas isso não encerrou minha vida. Encontrei o amor, tive meus filhos e reencontrei a alegria. Vim para o Brasil com minha mãe, quando eu tinha 20 anos. Parte de minha família já tinha se estabelecido no Recife e no Rio de Janeiro desde 1906. Escolhi o Rio. Quando cheguei, trabalhei como vendedor ambulante, batendo de porta em porta. Ainda me lembro da primeira venda: um cordão de ouro com uma medalha e um relógio. A dívida era registrada num cartão, com a data da cobrança.
Passei 50 anos sem falar nesse assunto. Hoje, penso que tenho obrigação de divulgar as atrocidades cometidas pelos nazistas contra os judeus, ciganos e outros povos. Histórias como a que vivi são uma bandeira para lutarmos por um mundo que respeite as diferenças.”
Adaptado de http://revistaepoca.globo.com/Vida-util/noticia/2012/01/vivi-depois-do-holocausto.html
Provas
Caderno Container