Foram encontradas 50 questões.
- PODC: Processo OrganizacionalProcesso Administrativo: Planejamento
- Teorias da AdministraçãoAbordagem NeoclássicaTeoria Neoclássica da Administração
O processo administrativo é formado por funções básicas da Administração. Quais são elas?
Provas
Questão presente nas seguintes provas
Em uma urna, foram colocadas bolas, cada uma com um número de 1 a 50 (sem repetições). Qual é a probabilidade de retirarmos uma bola e ela estar com um número que é múltiplo de 5?
Provas
Questão presente nas seguintes provas
Os gatos domésticos podem chegar a uma velocidade de 48km/h. Qual foi o tempo gasto por um gato que percorreu 72 km, mantendo essa velocidade?
Provas
Questão presente nas seguintes provas
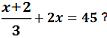
Qual é o resultado da equação

Provas
Questão presente nas seguintes provas
Um grupo de 5 alunos realizou um teste para ver quem respondia mais rápido a um questionário. Os tempos foram de: 5 minutos; 5,5 minutos; 6,5 minutos; 7 minutos e 8 minutos. Qual foi aproximadamente a média de tempo entre os três primeiros colocados?
Provas
Questão presente nas seguintes provas
Observe a expressão
.
Qual é a alternativa que apresenta o resultado mais próximo dessa expressão?
.Qual é a alternativa que apresenta o resultado mais próximo dessa expressão?
Provas
Questão presente nas seguintes provas
1073775
Ano: 2013
Disciplina: Direito Educacional e Tecnológico
Banca: AOCP
Orgão: Col. Pedro II
Disciplina: Direito Educacional e Tecnológico
Banca: AOCP
Orgão: Col. Pedro II
Provas:
De acordo com a Lei 11.892/08, o Colégio Pedro II
Provas
Questão presente nas seguintes provas
Rio de Janeiro, 20 de novembro de 1904.
Meu caro Nabuco,
Tão longe, e em outro meio, chegou-lhe a notícia da minha grande desgraça, e você expressou a sua simpatia por um telegrama. A única palavra com que lhe agradeci é a mesma que ora lhe mando, não sabendo outra que possa dizer tudo o que sinto e me acabrunha. Foi-se a melhor parte da minha vida e aqui estou eu só no mundo. Note que a solidão não me é enfadonha, antes me é grata, porque é um modo de viver com ela, ouvi-la, assistir aos mil cuidados que essa companheira de 35 anos de casados tinha comigo; mas não há imaginação que não acorde, e a vigília aumenta a falta da pessoa amada. Éramos velhos, e eu contava morrer antes dela, o que seria um grande favor; primeiro, porque não acharia a ninguém que melhor me ajudasse a morrer; segundo, porque ela deixa alguns parentes que a consolariam das saudades, e eu não tenho nenhum. Os meus são os amigos, e verdadeiramente são os melhores; mas a vida os dispersa, no espaço, nas preocupações do espírito e na própria carreira que a cada um cabe. Aqui me fco por ora na mesma casa, no mesmo aposento, com os mesmos adornos seus. Tudo lembra-me a minha meiga Carolina.
Como estou à beira do eterno aposento, não gastarei muito tempo em recordá-la. Irei vê-la, ela me esperará.
Não posso, caro amigo, responder agora à sua carta de 8 de outubro; recebi-a dias depois do falecimento de minha mulher, e você compreende que apenas posso falar deste fundo golpe.
Até outra e breve; então lhe direi o que convém ao assunto daquela carta que, pelo afeto e sinceridade, chegou à hora dos melhores remédios. Aceite este abraço do triste amigo velho
Machado de Assis
Adaptado de http://bagagemclandestina.blogspot.com.br/2008/08/meu- caro-nabuco.html
Em “... mas a vida os dispersa...”, o termo destacado retomaMeu caro Nabuco,
Tão longe, e em outro meio, chegou-lhe a notícia da minha grande desgraça, e você expressou a sua simpatia por um telegrama. A única palavra com que lhe agradeci é a mesma que ora lhe mando, não sabendo outra que possa dizer tudo o que sinto e me acabrunha. Foi-se a melhor parte da minha vida e aqui estou eu só no mundo. Note que a solidão não me é enfadonha, antes me é grata, porque é um modo de viver com ela, ouvi-la, assistir aos mil cuidados que essa companheira de 35 anos de casados tinha comigo; mas não há imaginação que não acorde, e a vigília aumenta a falta da pessoa amada. Éramos velhos, e eu contava morrer antes dela, o que seria um grande favor; primeiro, porque não acharia a ninguém que melhor me ajudasse a morrer; segundo, porque ela deixa alguns parentes que a consolariam das saudades, e eu não tenho nenhum. Os meus são os amigos, e verdadeiramente são os melhores; mas a vida os dispersa, no espaço, nas preocupações do espírito e na própria carreira que a cada um cabe. Aqui me fco por ora na mesma casa, no mesmo aposento, com os mesmos adornos seus. Tudo lembra-me a minha meiga Carolina.
Como estou à beira do eterno aposento, não gastarei muito tempo em recordá-la. Irei vê-la, ela me esperará.
Não posso, caro amigo, responder agora à sua carta de 8 de outubro; recebi-a dias depois do falecimento de minha mulher, e você compreende que apenas posso falar deste fundo golpe.
Até outra e breve; então lhe direi o que convém ao assunto daquela carta que, pelo afeto e sinceridade, chegou à hora dos melhores remédios. Aceite este abraço do triste amigo velho
Machado de Assis
Adaptado de http://bagagemclandestina.blogspot.com.br/2008/08/meu- caro-nabuco.html
Provas
Questão presente nas seguintes provas
- SintaxeColocação Pronominal
- MorfologiaPronomesPronomes PessoaisPronomes Pessoais Oblíquos
- SemânticaSinônimos e Antônimos
- Interpretação de TextosSubstituição/Reescritura de Texto
Rio de Janeiro, 20 de novembro de 1904.
Meu caro Nabuco,
Tão longe, e em outro meio, chegou-lhe a notícia da minha grande desgraça, e você expressou a sua simpatia por um telegrama. A única palavra com que lhe agradeci é a mesma que ora lhe mando, não sabendo outra que possa dizer tudo o que sinto e me acabrunha. Foi-se a melhor parte da minha vida e aqui estou eu só no mundo. Note que a solidão não me é enfadonha, antes me é grata, porque é um modo de viver com ela, ouvi-la, assistir aos mil cuidados que essa companheira de 35 anos de casados tinha comigo; mas não há imaginação que não acorde, e a vigília aumenta a falta da pessoa amada. Éramos velhos, e eu contava morrer antes dela, o que seria um grande favor; primeiro, porque não acharia a ninguém que melhor me ajudasse a morrer; segundo, porque ela deixa alguns parentes que a consolariam das saudades, e eu não tenho nenhum. Os meus são os amigos, e verdadeiramente são os melhores; mas a vida os dispersa, no espaço, nas preocupações do espírito e na própria carreira que a cada um cabe. Aqui me fco por ora na mesma casa, no mesmo aposento, com os mesmos adornos seus. Tudo lembra-me a minha meiga Carolina.
Como estou à beira do eterno aposento, não gastarei muito tempo em recordá-la. Irei vê-la, ela me esperará.
Não posso, caro amigo, responder agora à sua carta de 8 de outubro; recebi-a dias depois do falecimento de minha mulher, e você compreende que apenas posso falar deste fundo golpe.
Até outra e breve; então lhe direi o que convém ao assunto daquela carta que, pelo afeto e sinceridade, chegou à hora dos melhores remédios. Aceite este abraço do triste amigo velho
Machado de Assis
Adaptado de http://bagagemclandestina.blogspot.com.br/2008/08/meu- caro-nabuco.html
Considerando as normas gramaticais, assinale a alternativa correta.Meu caro Nabuco,
Tão longe, e em outro meio, chegou-lhe a notícia da minha grande desgraça, e você expressou a sua simpatia por um telegrama. A única palavra com que lhe agradeci é a mesma que ora lhe mando, não sabendo outra que possa dizer tudo o que sinto e me acabrunha. Foi-se a melhor parte da minha vida e aqui estou eu só no mundo. Note que a solidão não me é enfadonha, antes me é grata, porque é um modo de viver com ela, ouvi-la, assistir aos mil cuidados que essa companheira de 35 anos de casados tinha comigo; mas não há imaginação que não acorde, e a vigília aumenta a falta da pessoa amada. Éramos velhos, e eu contava morrer antes dela, o que seria um grande favor; primeiro, porque não acharia a ninguém que melhor me ajudasse a morrer; segundo, porque ela deixa alguns parentes que a consolariam das saudades, e eu não tenho nenhum. Os meus são os amigos, e verdadeiramente são os melhores; mas a vida os dispersa, no espaço, nas preocupações do espírito e na própria carreira que a cada um cabe. Aqui me fco por ora na mesma casa, no mesmo aposento, com os mesmos adornos seus. Tudo lembra-me a minha meiga Carolina.
Como estou à beira do eterno aposento, não gastarei muito tempo em recordá-la. Irei vê-la, ela me esperará.
Não posso, caro amigo, responder agora à sua carta de 8 de outubro; recebi-a dias depois do falecimento de minha mulher, e você compreende que apenas posso falar deste fundo golpe.
Até outra e breve; então lhe direi o que convém ao assunto daquela carta que, pelo afeto e sinceridade, chegou à hora dos melhores remédios. Aceite este abraço do triste amigo velho
Machado de Assis
Adaptado de http://bagagemclandestina.blogspot.com.br/2008/08/meu- caro-nabuco.html
Provas
Questão presente nas seguintes provas
Rio de Janeiro, 20 de novembro de 1904.
Meu caro Nabuco,
Tão longe, e em outro meio, chegou-lhe a notícia da minha grande desgraça, e você expressou a sua simpatia por um telegrama. A única palavra com que lhe agradeci é a mesma que ora lhe mando, não sabendo outra que possa dizer tudo o que sinto e me acabrunha. Foi-se a melhor parte da minha vida e aqui estou eu só no mundo. Note que a solidão não me é enfadonha, antes me é grata, porque é um modo de viver com ela, ouvi-la, assistir aos mil cuidados que essa companheira de 35 anos de casados tinha comigo; mas não há imaginação que não acorde, e a vigília aumenta a falta da pessoa amada. Éramos velhos, e eu contava morrer antes dela, o que seria um grande favor; primeiro, porque não acharia a ninguém que melhor me ajudasse a morrer; segundo, porque ela deixa alguns parentes que a consolariam das saudades, e eu não tenho nenhum. Os meus são os amigos, e verdadeiramente são os melhores; mas a vida os dispersa, no espaço, nas preocupações do espírito e na própria carreira que a cada um cabe. Aqui me fco por ora na mesma casa, no mesmo aposento, com os mesmos adornos seus. Tudo lembra-me a minha meiga Carolina.
Como estou à beira do eterno aposento, não gastarei muito tempo em recordá-la. Irei vê-la, ela me esperará.
Não posso, caro amigo, responder agora à sua carta de 8 de outubro; recebi-a dias depois do falecimento de minha mulher, e você compreende que apenas posso falar deste fundo golpe.
Até outra e breve; então lhe direi o que convém ao assunto daquela carta que, pelo afeto e sinceridade, chegou à hora dos melhores remédios. Aceite este abraço do triste amigo velho
Machado de Assis
Adaptado de http://bagagemclandestina.blogspot.com.br/2008/08/meu- caro-nabuco.html
Em “Como estou à beira do eterno aposento, não gastarei muito tempo em recordá-la.”, o termo destacado estabelece relação lógico-semântica deMeu caro Nabuco,
Tão longe, e em outro meio, chegou-lhe a notícia da minha grande desgraça, e você expressou a sua simpatia por um telegrama. A única palavra com que lhe agradeci é a mesma que ora lhe mando, não sabendo outra que possa dizer tudo o que sinto e me acabrunha. Foi-se a melhor parte da minha vida e aqui estou eu só no mundo. Note que a solidão não me é enfadonha, antes me é grata, porque é um modo de viver com ela, ouvi-la, assistir aos mil cuidados que essa companheira de 35 anos de casados tinha comigo; mas não há imaginação que não acorde, e a vigília aumenta a falta da pessoa amada. Éramos velhos, e eu contava morrer antes dela, o que seria um grande favor; primeiro, porque não acharia a ninguém que melhor me ajudasse a morrer; segundo, porque ela deixa alguns parentes que a consolariam das saudades, e eu não tenho nenhum. Os meus são os amigos, e verdadeiramente são os melhores; mas a vida os dispersa, no espaço, nas preocupações do espírito e na própria carreira que a cada um cabe. Aqui me fco por ora na mesma casa, no mesmo aposento, com os mesmos adornos seus. Tudo lembra-me a minha meiga Carolina.
Como estou à beira do eterno aposento, não gastarei muito tempo em recordá-la. Irei vê-la, ela me esperará.
Não posso, caro amigo, responder agora à sua carta de 8 de outubro; recebi-a dias depois do falecimento de minha mulher, e você compreende que apenas posso falar deste fundo golpe.
Até outra e breve; então lhe direi o que convém ao assunto daquela carta que, pelo afeto e sinceridade, chegou à hora dos melhores remédios. Aceite este abraço do triste amigo velho
Machado de Assis
Adaptado de http://bagagemclandestina.blogspot.com.br/2008/08/meu- caro-nabuco.html
Provas
Questão presente nas seguintes provas
Cadernos
Caderno Container