Foram encontradas 577 questões.

O percentual de desconto, formatado como “Percentual" e estabelecido na célula B2, varia constantemente e é o mesmo para todos os produtos. Sabe-se que ao preparar a planilha Rafael copiou a célula C5 e colou-a de uma vez na região C6:C8. Assinale a opção que indica a fórmula que não poderia estar na célula C5 no momento dessa cópia.
Provas
Sabendo-se que a empresa utiliza uma abordagem participativa de gerência em que todos podem opinar em qualquer assunto, a técnica mais adequada a ser utilizada para se obter os objetivos gerais do sistema é
Provas
No contracheque de Miriam do mês de março de 2015 existem diversos descontos: INSS, imposto sobre a renda, adiantamento salarial que a empresa promove no dia 15 de cada mês, contribuição sindical, contribuição confederativa, contribuição de revigoramento, vale transporte (6% do salário) e assistência médica. Sabe-se que Miriam não é sindicalizada nem autorizou qualquer desconto, seja na admissão ou posteriormente.
Diante da situação retratada, de acordo com a CLT e o entendimento consolidado do STF e TST, assinale a afirmativa correta.
Provas
- Duração do TrabalhoDa Jornada de TrabalhoTrabalho extraordinário
- Duração do TrabalhoEfeitos e duração do trabalho nos contratos de emprego
- Remuneração e Salário
Pedro e João são amigos e exercem a função de vigilante em empresas diferentes. Ambos cumprem escala de 12x36 horas. A empresa na qual Pedro trabalha firmou acordo coletivo com o sindicato dos vigilantes prevendo a jornada em escala 12x36 horas, enquanto o empregador de João, não. Sabe-se que, na convenção coletiva da categoria, não existe previsão de escala especial.
Diante da hipótese retratada e do entendimento consolidado pelo TST, em relação aos plantões cumpridos nos domingos e feriados pelos empregados em tela, assinale a afirmativa correta.
Provas
O acordo coletivo de uma empresa que atua em turno ininterrupto de revezamento prevê a jornada de 8 horas diárias e, em contrapartida, a concessão de duas cestas básicas mensais a cada trabalhador. O acordo coletivo foi feito com vigência de 2 anos, findou-se e não foi substituído por outro.
Diante do caso apresentado, e considerando os termos da Constituição Federal, da CLT e o entendimento consolidado do TST, assinale a afirmativa correta acerca do instrumento normativo.
Provas
- Execução trabalhistaPenhora. Expropriação e suas modalidades
- Execução trabalhistaPrincípios Execução Trabalhista
Após prolatada sentença que julgou procedente em parte os pedidos de uma reclamação trabalhista, ambas as partes dela recorreram e o autor requereu a expedição de carta de sentença para execução provisória do julgado.
Sobre esse procedimento, de acordo com o previsto na CLT e o entendimento consolidado do TST, assinale a afirmativa correta.
Provas
- Ações especiais no processo trabalhistaAções cautelares e tutela antecipada
- Sistema recursal trabalhistaRecurso ordinário
Um capataz ajuizou ação trabalhista contra o operador portuário e o OGMO, logrando a concessão de tutela antecipada de plano. Intimado, o operador portuário impetrou Mandado de Segurança, conseguindo junto ao relator liminar para suspender os efeitos da tutela antecipada, devidamente cumprida pelo juízo de 1º grau. Antes do julgamento do writ adveio a sentença nos autos da ação trabalhista, na qual o pedido foi julgado procedente e deferida novamente, agora no bojo da sentença, a tutela antecipada.
Acerca da atitude processual necessária para atacar de imediato a tutela antecipada deferida na sentença, considerando a sistemática recursal vigente na seara trabalhista e o entendimento consolidado do TST, assinale a afirmativa correta.
Provas
O potencial de evaporação em uma coordenada da superfície terrestre varia dependendo de diversos fatores.
Em relação à influência destes fatores sobre a evaporação, assinale a afirmativa correta.
Provas
Provas
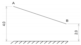
A água escoa do ponto A para o ponto B da tubulação com seção transversal variável apresentada na figura a seguir.

Dimensões em metros.
Sabe-se que a área da seção transversal da tubulação no ponto A é de 150 cm2 e a pressão, nesse mesmo ponto, é de 0,5 kgf/cm2 . Além disso, no ponto B, a área da seção transversal é de 50 cm2 e a pressão é de 1,7 kgf/cm2 .
Desse modo, a vazão no ponto B vale
Provas
Caderno Container