Foram encontradas 897 questões.
Disciplina: Engenharia Cartográfica
Banca: DIRENS Aeronáutica
Orgão: CIAAR
Um engenheiro cartógrafo mapeou na carta SE-23-Z-C-IV o uso e ocupação da área de uma microbacia onde será construída uma barragem de uma pequena central hidrelétrica e disponibilizou no formato shapefile, coordenadas projetadas UTM, sistema de referência SIRGAS2000. Com base nessas informações, analise as afirmativas a seguir.
I. o sistema de projeção é cônico.
II. o sistema de referência é topocêntrico.
III. a nomenclatura da carta corresponde à escala 1:100.000.
IV. os limites dos fusos da carta mapeada coincidem com os da carta internacional ao milionésimo (CIM), portanto o fuso da carta é 23.
Está correto apenas o que se afirma em
Provas
Radiação eletromagnética é o movimento de energia através do espaço, pela combinação de campos elétrico e magnético, gerada quando a velocidade de uma partícula eletricamente carregada é alterada, sendo capaz de ionizar a matéria. Um exemplo de radiação eletromagnética é
Provas
O sociólogo Max Weber (1864-1920) em suas reflexões trabalhou a questão da racionalização do mundo como um dado assimilado na modernidade. O processo conhecido como “desencantamento do mundo” referido por Weber levou à construção por parte de estudiosos da religião a uma teoria conhecida no século XX por
Provas
Provas
Complete corretamente a seguinte frase.
Um quadro típico de acidose respiratória é aquele em que
Provas
Provas
Em suas epístolas, o apóstolo Paulo se serve de algumas imagens para expressar a condição da pessoa salva por Cristo.
Associe a imagem utilizada pelo apóstolo às suas respectivas características.
IMAGENS
(1) Adoção
(2) Justificação
(3) Redenção
(4) Salvação
CARACTERÍSTICAS
( ) Mudança na posição legal do cristão aos olhos de Deus. Possibilita entrar em relacionamento com Deus.
( ) Prática comum na cultura greco-romana. Por meio dela, os cristãos compartilham dos mesmos direitos herdados por Cristo.
( ) Ela contempla as dimensões de passado, presente e futuro. Tal entendimento possui implicações escatológicas.
( ) No contexto cultural, representava a libertação de prisioneiros de guerra ou liberdade para escravos vendidos para pagamento de dívidas de famílias.
A sequência correta dessa associação é
Provas
No ajustamento de observações aplica-se o conceito e uso de uma matriz variância-covariância (MVC), sendo que esta refere-se a uma matriz quadrada contendo as variâncias e covariâncias de variáveis. Informe se é verdadeiro (V) ou falso (F) o que se afirma abaixo:
( ) A covariância entre X e Y é a mesma que a covariância entre Y e X e desta forma sendo caracterizada como simétrica.
( ) Quando as componentes X e Y são estatisticamente independentes a covariância é nula, sem que a recíproca seja necessariamente verdadeira.
( ) Os elementos fora da diagonal contêm os desvios destas variáveis e os elementos diagonais da MVC contêm as covariâncias entre todos os possíveis pares de variáveis.
( ) A matriz “A” abaixo é um exemplo de MVC para quatro variáveis X, Y, Z e W, em que a covariância de Z é igual a 3,6 e a variância entre X e Y é igual a - 0,23.
A =
| X | Y | Z | W | |
| X | 1,2 | -0,23 | 1,3 | -0,8 |
| Y | 0,23 | 2,4 | 2,1 | 3,2 |
| Z | -1,3 | -2,1 | 3,6 | 1,3 |
| W | 0,8 | -3,2 | 1,3 | 2,4 |
Assinale a alternativa que apresenta a sequência correta.
Provas
Embora a tomografia computadorizada de feixe cônico seja uma importante modalidade de exame incorporada à Odontologia, há algumas limitações inerentes ao método. Analise as desvantagens a seguir.
I. Imagens em tamanho real.
II. Menor custo financeiro ao paciente.
III. Possibilita visualização tridimensional.
IV. Exposição com maior dose de radiação.
Está correto como desvantagem da tomografia computadorizada de feixe cônico, comparativamente a um exame radiográfico periapical o que se afirma apenas em
Provas
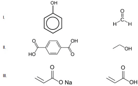
Polímeros são macromoléculas constituídas pela repetição de uma pequena unidade molecular (mero) de um determinado composto químico. A reação que dá origem a um polímero é denominada reação de polimerização, em que a molécula inicial (monômero) se agrupa sucessivamente com outras, produzindo o dímero, trímero, tetrâmero e, por fim, o polímero.
Quando um polímero tem como matéria prima monômeros diferentes, ele é chamado de copolímero. Observe os pares de substância abaixo.

Fonte: Arquivo da Banca Elaboradora.
É possível formar copolímeros utilizando os pares
Provas
Caderno Container