Foram encontradas 210 questões.
903120
Ano: 2015
Disciplina: Matemática Financeira
Banca: Pref. Rio Janeiro-RJ
Orgão: CGM Rio Janeiro-RJ
Disciplina: Matemática Financeira
Banca: Pref. Rio Janeiro-RJ
Orgão: CGM Rio Janeiro-RJ
Provas:
- Conceitos Fundamentais
- Juros (Capitalização)Relação entre Juros Simples e CompostosTaxa Aparente, Taxa de Juros Reais e Inflação
Leia a notícia que segue:
“Inflação pelo IGP-DI acumula alta de 7,80% em 12 meses, diz FGV"
Fonte: http://g1.globo.com/economia/noticia/2015/09/inflacao-pelo-igp-di-acumula-alta-de-780-em-12-meses-diz-fgv.html (Acesso em 07/09/15)
Sabe-se que, no mesmo período citado na notícia, um trabalhador assalariado teve um aumento de 20%. Com isso, o ganho efetivo do poder de compra desse trabalhador nesse período foi, aproximadamente, igual a:
“Inflação pelo IGP-DI acumula alta de 7,80% em 12 meses, diz FGV"
Fonte: http://g1.globo.com/economia/noticia/2015/09/inflacao-pelo-igp-di-acumula-alta-de-780-em-12-meses-diz-fgv.html (Acesso em 07/09/15)
Sabe-se que, no mesmo período citado na notícia, um trabalhador assalariado teve um aumento de 20%. Com isso, o ganho efetivo do poder de compra desse trabalhador nesse período foi, aproximadamente, igual a:
Provas
Questão presente nas seguintes provas
903119
Ano: 2015
Disciplina: Matemática Financeira
Banca: Pref. Rio Janeiro-RJ
Orgão: CGM Rio Janeiro-RJ
Disciplina: Matemática Financeira
Banca: Pref. Rio Janeiro-RJ
Orgão: CGM Rio Janeiro-RJ
Provas:
Um ganhador da loteria deseja obter uma renda perpétua
mensal de R$ 8.000,00, aplicando o prêmio em uma caderneta
de poupança que rende uma taxa mensal de 0,5% ao mês.
Considerando-se a primeira retirada um mês após a aplicação, o valor mínimo do prêmio para que as condições acima
sejam atendidas é de:
Provas
Questão presente nas seguintes provas
903117
Ano: 2015
Disciplina: Matemática Financeira
Banca: Pref. Rio Janeiro-RJ
Orgão: CGM Rio Janeiro-RJ
Disciplina: Matemática Financeira
Banca: Pref. Rio Janeiro-RJ
Orgão: CGM Rio Janeiro-RJ
Provas:
Ao comprar um imóvel de R$ 480.000,00, Viviane financiou 60% do valor em 10 anos com prestações mensais, calculadas de acordo com o Sistema de Amortização Constante (SAC). Sabe-se que a taxa de juros vigente no mercado, na data do financiamento, era de 5% ao mês.
Viviane pretende quitar esse imóvel após pagar as 60 primeiras prestações. Para tanto, na data da 61ª prestação, ela deverá dispor de uma quantia mínima de:
Viviane pretende quitar esse imóvel após pagar as 60 primeiras prestações. Para tanto, na data da 61ª prestação, ela deverá dispor de uma quantia mínima de:
Provas
Questão presente nas seguintes provas
903116
Ano: 2015
Disciplina: Matemática Financeira
Banca: Pref. Rio Janeiro-RJ
Orgão: CGM Rio Janeiro-RJ
Disciplina: Matemática Financeira
Banca: Pref. Rio Janeiro-RJ
Orgão: CGM Rio Janeiro-RJ
Provas:
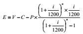
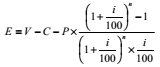
Na compra de um carro “zero km", uma pessoa entrega seu
carro usado, avaliado em C reais, para abater esse valor do
preço à vista de V reais do carro “zero km". Admita-se que o
saldo seja pago através de uma entrada no valor de E reais,
mais n prestações mensais postecipadas no valor de P reais
cada. Nessa venda, são aplicados juros nominais de i% ao
ano, capitalizados mensalmente. O valor de E está corretamente
indicado na seguinte alternativa:
Provas
Questão presente nas seguintes provas
903115
Ano: 2015
Disciplina: Matemática Financeira
Banca: Pref. Rio Janeiro-RJ
Orgão: CGM Rio Janeiro-RJ
Disciplina: Matemática Financeira
Banca: Pref. Rio Janeiro-RJ
Orgão: CGM Rio Janeiro-RJ
Provas:
Ao comprar um imóvel de R$ 480.000,00, Viviane financiou 60%
do valor em 10 anos com prestações mensais, calculadas de acordo
com o Sistema de Amortização Constante (SAC). Sabe-se que a
taxa de juros vigente no mercado, na data do financiamento, era de
5% ao mês.
O valor pago por Viviane na terceira prestação corresponde a:
O valor pago por Viviane na terceira prestação corresponde a:
Provas
Questão presente nas seguintes provas
903112
Ano: 2015
Disciplina: Matemática Financeira
Banca: Pref. Rio Janeiro-RJ
Orgão: CGM Rio Janeiro-RJ
Disciplina: Matemática Financeira
Banca: Pref. Rio Janeiro-RJ
Orgão: CGM Rio Janeiro-RJ
Provas:
Certo capital é investido à taxa de juros compostos de 40% ao
ano, capitalizados semestralmente. O tempo, em anos, necessário
para que esse capital seja triplicado é de:
Provas
Questão presente nas seguintes provas
903110
Ano: 2015
Disciplina: Matemática Financeira
Banca: Pref. Rio Janeiro-RJ
Orgão: CGM Rio Janeiro-RJ
Disciplina: Matemática Financeira
Banca: Pref. Rio Janeiro-RJ
Orgão: CGM Rio Janeiro-RJ
Provas:
Os valores que seguem devem ser usados, quando necessário,
para resolver à questão.
1,052 = 1,1025 1,053 = 1,1576 1,054 = 1,2155
Certa aplicação possui uma taxa nominal de 20% ao ano,
capitalizada trimestralmente. A taxa efetiva anual equivalente a
essa taxa nominal é de aproximadamente:1,052 = 1,1025 1,053 = 1,1576 1,054 = 1,2155
Provas
Questão presente nas seguintes provas
903109
Ano: 2015
Disciplina: Matemática Financeira
Banca: Pref. Rio Janeiro-RJ
Orgão: CGM Rio Janeiro-RJ
Disciplina: Matemática Financeira
Banca: Pref. Rio Janeiro-RJ
Orgão: CGM Rio Janeiro-RJ
Provas:
Os valores que seguem devem ser usados, quando necessário,
para resolver à questão.
1,052 = 1,1025 1,053 = 1,1576 1,054 = 1,2155
Rui comprará uma TV de R$ 4.000,00, dando 25% de entrada
no ato da compra e o restante em duas prestações mensais
iguais. A primeira dessas prestações será paga um mês após
a compra e a segunda, dois meses após a compra. Admita-se
que, nessa transação comercial, a loja cobra juros de 5% ao
mês. O valor de cada prestação mensal corresponde a:1,052 = 1,1025 1,053 = 1,1576 1,054 = 1,2155
Provas
Questão presente nas seguintes provas
903108
Ano: 2015
Disciplina: Matemática Financeira
Banca: Pref. Rio Janeiro-RJ
Orgão: CGM Rio Janeiro-RJ
Disciplina: Matemática Financeira
Banca: Pref. Rio Janeiro-RJ
Orgão: CGM Rio Janeiro-RJ
Provas:
No ano de 2015, um produto que custava P sofreu dois aumentos
consecutivos de 10%, um em abril e outro em maio. Já
nos meses de junho e julho, o preço do produto sofreu dois
descontos consecutivos de 10%, um em cada mês, passando
a custar V. Em relação a P, o custo V é:
Provas
Questão presente nas seguintes provas
903107
Ano: 2015
Disciplina: Matemática Financeira
Banca: Pref. Rio Janeiro-RJ
Orgão: CGM Rio Janeiro-RJ
Disciplina: Matemática Financeira
Banca: Pref. Rio Janeiro-RJ
Orgão: CGM Rio Janeiro-RJ
Provas:
Os valores que seguem devem ser usados, quando necessário,
para resolver à questão.
1,052 = 1,1025 1,053 = 1,1576 1,054 = 1,2155
Um empresário pegou, em fevereiro de 2015, um empréstimo
de R$ 800.000,00, a ser pago em quatro prestações mensais,
de acordo com o Sistema Francês de Amortização (Tabela
Price), a juros efetivos de 5% ao mês. Considere-se que esse
financiamento previa uma carência de três meses, ou seja, a
primeira prestação foi paga em maio de 2015. Considere-se,
ainda, que os juros são capitalizados e incorporados ao principal.
Fazendo-se aproximações convenientes, tem-se que o
valor de cada uma das quatro prestações é de:1,052 = 1,1025 1,053 = 1,1576 1,054 = 1,2155
Provas
Questão presente nas seguintes provas
Cadernos
Caderno Container