Foram encontradas 166 questões.
- GeometriaGeometria PlanaTriângulosMediana, Mediatriz, Bissetriz e Altura de Triângulos
- GeometriaGeometria PlanaCircunferências e Círculos
A figura a seguir mostra um setor circular de 42o e 3cm de raio que foi reproduzido cinco vezes; em seguida, todos foram unidos pelo vértice.

A área da figura, em cm², é aproximadamente igual a:
Provas
Adílio pensa em pegar um empréstimo numa financeira que exerce uma taxa de juros de 8% ao mês. Ele quer pegar uma quantia S e pretende pagar tudo o que deve daqui a três meses. Para calcular quanto terá de pagar, Adílio deve multiplicar S por:
Provas
Observe o polígono a seguir:

A soma dos ângulos externos desse polígono é igual a:
Provas
Judson tem uma coleção de cento e cinqüenta e seis moedas. Ele resolveu que, a partir desse mês, incluirá seis novas moedas, a cada mês, em sua coleção. Nesse caso, daqui a trinta e dois meses, Judson terá a seguinte quantidade de moedas em sua coleção:
Provas
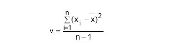
A variância de um amostra x1, x2,..., xn de n números pode ser definida como

Nesse caso, a variância da amostra: 1, 3, 4, 6, 1 é igual a:
Provas
Numa empresa há cinco técnicos em eletrotécnica e quatro técnicos em edificações. Se quatro desses técnicos forem escolhidos ao acaso para um curso de treinamento em segurança do trabalho, a probabilidade de que dois sejam técnicos em edificações e dois sejam técnicos em eletrotécnica é, aproximadamente, de:
Provas
Numa comunidade, se A representa o conjunto de pessoas que usam o ônibus como principal meio de transporte, B indica o conjunto de pessoas que usam o automóvel e C é o conjunto das que utilizam o metrô, então o complemento da união de A com B representa o conjunto de pessoas que, como principal meio de transporte,
Provas
Se considerarmos as etapas: extração da madeira / preparo da pasta para a fabricação do papel / produção do papel / impressão / livraria, vemos que elas exemplificam:
Provas
A alternativa em que o valor semântico do elemento destacado está corretamente indicado é:
Provas
Os fatos indicados no texto são apresentados numa ordem que leva em conta primordialmente:
Provas
Caderno Container