Magna Concursos

Foram encontradas 50 questões.

1411922 Ano: 2012
Disciplina: Português
Banca: FUNRIO
Orgão: CEITEC
Provas:

“Chega o Ano Novo, mas os nossos grandes problemas estão nos velhos hábitos situados naquela zona malandra centrada entre o Estado (essa milionária máquina gerencial pública com suas regras opostas ao bom-senso) e a sociedade. Nós, os cidadãos comuns que não recebemos milionários auxílios-residência, não temos licença-prêmio ou atrasados a receber e nem fomos eleitos para algum cargo público com o propósito de usá-lo para virarmos nobres e, melhor que isso, ficarmos fora do alcance da lei. Nós, os comuns, não temos emprego - temos impostos e trabalho!”

(Roberto DaMatta. O Globo. 04/01/2012)

Levando em conta as relações de coesão estabelecidas pelas palavras destacadas nas alternativas abaixo, assinale a afirmativa incorreta:

 

Provas

Questão presente nas seguintes provas
1411911 Ano: 2012
Disciplina: Engenharia Eletrônica
Banca: FUNRIO
Orgão: CEITEC
A FMEA tem, como característica, o fato de ser um processo indutivo, cuja aplicação
I – necessita que haja o conhecimento do produto ou sistema.
II - necessita que haja o conhecimento das funções do produto.
III – não necessita que haja o conhecimento dos requisitos dos clientes com relação à falha do produto.
A alternativa que responde corretamente a questão é
 

Provas

Questão presente nas seguintes provas
1411754 Ano: 2012
Disciplina: Português
Banca: FUNRIO
Orgão: CEITEC
Provas:

Assinale o item que apresenta uma interpretação incorreta para o seguinte trecho:

Há dois tipos(e) de idealistas no mundo. O primeiro grupo(e) é composto de pessoas que querem ver um mundo melhor, acabar com as desigualdades, injustiças sociais e assim por diante(b). Gastam tempo como voluntários, doam dinheiro para entidades beneficentes e engajam-se em campanhas das mais diversas.(...) O segundo grupo de idealistas é aquele composto de pessoas que querem fazer a mesma coisa(a), mas que nunca pagam a conta. São os chamados "idealistas-com-o-dinheiro-dos-outros"(c).

Com o nosso dinheiro, para ser mais preciso.

(Revista Veja. Editora Abril, edição 1639, ano 33, nº 10, 8 de março de 2000, página 17.

 

Provas

Questão presente nas seguintes provas
1410705 Ano: 2012
Disciplina: Engenharia Química
Banca: FUNRIO
Orgão: CEITEC
Uma operação bastante comum na indústria é a geração de vapor, normalmente utilizado para a produção de trabalho mecânico em turbinas (vapor superaquecido) ou em processos de aquecimento, nos quais se emprega o vapor saturado. Independentemente da sua utilização, a qualidade do vapor nessas operações é fundamental, sendo dependente de um correto dimensionamento das linhas de distribuição, purgadores, válvulas, acessórios e, principalmente, de uma boa qualidade da água utilizada para gerar este vapor. Nos sistemas de aquecimento, grande parte do calor é removida por evaporação da água, o que causa aumento de concentração de sais e outros materiais indesejáveis. A corrosão é um problema sempre presente nesse processo. Por fim, devido às temperaturas relativamente amenas que se encontra na água de resfriamento, tem-se um terceiro inconveniente bastante indesejável:
 

Provas

Questão presente nas seguintes provas
1410445 Ano: 2012
Disciplina: Português
Banca: FUNRIO
Orgão: CEITEC
Provas:

Os vocábulos Emergir e Imergir são parônimos: empregar um pelo outro acarreta grave confusão no que se quer expressar. Nas alternativas abaixo, só uma apresenta uma frase em que se respeita o devido sentido dos vocábulos, selecionando convenientemente o parônimo adequado à frase elaborada. Assinale-a.

 

Provas

Questão presente nas seguintes provas
1410225 Ano: 2012
Disciplina: Química
Banca: FUNRIO
Orgão: CEITEC
A oxidação por luz ultravioleta resulta da absorção da luz a 185nm, produzindo radicais de hidroxil, que, por sua vez, oxida os materiais orgânicos ionizáveis. Esse processo isolado não garante a remoção das substâncias orgânicas da água. Para isso, deve ser realizada a esterilização por ultravioleta, a qual é realizada por absorção da luz de 254nm. Essa esterilização destrói o DNA e RNA dos microorganismos, causando a morte da sua célula. Com relação às vantagens do sistema ultravioleta não se pode afirmar que
 

Provas

Questão presente nas seguintes provas
1409983 Ano: 2012
Disciplina: Português
Banca: FUNRIO
Orgão: CEITEC

Marque a alternativa que contém a frase em que o emprego e a colocação pronominal estão de acordo com a norma padrão da língua escrita brasileira.

 

Provas

Questão presente nas seguintes provas
1409811 Ano: 2012
Disciplina: Engenharia Eletrônica
Banca: FUNRIO
Orgão: CEITEC
Em relação à terminologia aplicada à prática da Manutenção, assinale a alternativa que representa o item que pode falhar somente uma vez.
 

Provas

Questão presente nas seguintes provas
1409501 Ano: 2012
Disciplina: Química
Banca: FUNRIO
Orgão: CEITEC
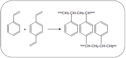
O princípio operacional do leito misto consiste na passagem da água a ser tratada através de um leito, contendo resinas catiônicas e aniônicas fortes, intimamente misturadas. Assim, o ácido formado será imediatamente neutralizado pela vizinhança do trocador aniônico. A alcalinidade formada será removida imediatamente pela resina trocadora catiônica. Por esse motivo, o leito misto elimina praticamente todas as impurezas. Os leitos mistos servem, portanto, como elementos de polimento final e de segurança, absorvendo qualquer escape anormal de sais das unidades de intercâmbio catiônico e aniônico. Com relação à matriz polimérica que, modificada origina as resinas usualmente utilizadas em leito misto, a produção mais utilizada está representada pela reação abaixo. O produto desta reação é denominado
Enunciado 1409501-1
 

Provas

Questão presente nas seguintes provas
1409476 Ano: 2012
Disciplina: Inglês (Língua Inglesa)
Banca: FUNRIO
Orgão: CEITEC
Provas:
TEXT
Spain's property crash casts a long shadow over a place in the sun
Graham Norwood, The Guardian, Saturday 2 April 2011
Spanish homeowners used to have little in common with the wealthy north Europeans snapping up holiday villas and apartments on the Costas. Now both are united in adversity. Both are suffering in a market preoccupied with falling values, negative equity, a glut of unsold new property and, in some cases, doubts about the legality of new estates. An estimated 600,000 new homes, and 200,000 part-completed ones remain unsold, a sizeable proportion of which are in holiday areas. The Bank of Spain says official house prices have fallen 17% since 2007, but many observers believe that the market is much worse than that, as the bank's index is based on valuations, not achieved sale prices. Estate agents say prices of homes have typically fallen 20% to 50% in different parts of the country, with no sector unaffected.
"There is an entire generation of young Spaniards with a millstone round their necks," says Enrique Quemada of One to One Capital Partners, a business consultancy. "They will have to work their whole lives to pay for houses now worth half what they bought them for." Meanwhile, the holiday home market also remains in the doldrums. A three-bedroom bungalow in Castellon, north of Valencia, has been slashed by its British owner from £109,000 to £79,000, and then to £66,000, but still has no takers. Taylor Wimpey, a British developer which has been building homes in Spain for more than 50 years, has new villas on the Costa Blanca for sale at £140,000, down from £235,000. On the Balearic Islands, until recently thought of as immune from the crash, prices are down as much as 40%.
"There are some real bargains, especially at the top of the market," says a spokeswoman for Savills estate agency, which has one new luxury villa on Mallorca slashed from £15.4m to a mere £9.5m. Desperate developers are also faced with a slump in British demand because of the poor euro-sterling exchange rate. As a result, a golfing resort in Catalunya is selling its homes with a guaranteed rate of €1.25 to the pound on all purchases over the summer; the market rate is €1.14. Most commentators believe that more price falls are inevitable, but even if Britons choose to buy now, the prospect of getting a Spanish mortgage is "pretty bleak," according to Melanie Bien of broker Private Finance.
"Spain stands out with a housing market and a lending record that's far worse than France, Portugal or Italy. If you must buy, somehow try to remortgage money from your own home back in Britain," she advises. The latest figures to emerge from Spain show little respite from a downturn that is now in its fourth year. Although there was a small rise in the number of homes sold early in 2010, this was driven by the desire to beat deadlines for the scrapping of mortgage tax relief and a rise on VAT on new homes. By the end of last year, sales volumes were again on the slide. Despite the glut of unsold new homes, another 257,443 were completed in 2010. Even so, there has been a 43% collapse in the value of the Spanish construction industry, according to EU figures, and a collapse in land prices of about 50%.
Spanish banks – many of which hold thousands of repossessed homes as assets – are legally obliged to start selling these homes after holding them for two years. As a result, more properties are expected to flood the market for sale this year. Meanwhile, as if that's not enough, the scandal of Spain's "illegal homes" continues. For more than a decade there have been disputes over some new developments retrospectively declared illegal by councils, controversial compulsory purchase powers given to developers by some local authorities, and politicians who have been jailed for accepting bungs.
The most recent controversy blew up last month when 12,697 new homes were declared illegal in the Almanzora Valley in south-east Spain, an area popular with holiday-home buyers. Some 920 have been earmarked for demolition, while the remainder may be rezoned, thus allowing them to be declared legal and have utilities connected. "How many will be made homeless, or lose their life savings, if 920 houses are demolished? Who's going to compensate those who bought in good faith?" asks Maura Hillen, president of Abusos Urbanisticos Almanzora No, a local pressure group composed mainly of British residents. Similar groups of disgruntled UK buyers exist across many of Spain's tourist areas.
Now the housing crash has become so much a part of the modern Spanish psyche it has been accorded the ultimate tribute – its own television soap opera. Crematorio has a storyline that includes unhappy foreign buyers, corrupt councilors, lurid affairs, drugs and violence against a backdrop of the Spanish Costas.
Far-fetched? Not this time. Many believe the fiction is some way behind the fact. Britain and Spain aren't a million miles apart when it comes to home ownership aspirations. Both are big on owner-occupation. Spain has one of the highest rates in the whole EU – a whopping 82% – with the rental market concentrated in a few major cities such as Madrid and Barcelona, says the Rics European Housing Review 2011, a major annual study of Europe's property markets. Tax breaks have encouraged people to invest in housing, though many of these have now been scrapped as part of the recent austerity measures.
And it's not just Brits and other northern Europeans who have responded to the siren call of Spain's sun-kissed beaches. The Rics study points out that, among Spaniards, "there is also a high propensity to aspire to own a second home in the countryside or on the coast: over a fifth of households own one. This helps to make crowded urban conditions more tolerable for those that can afford it".
The latter point is a reference to the fact that Spain's houses are typically pretty busy, bustling places. Says the report: "This cramped lifestyle reflects cultural factors, as well as housing shortages, as several generations of families may live together in dense urban accommodation. The number of rooms per dwelling is quite high by average EU standards, yet they tend to be small, with the usable floor area towards the bottom of the rankings."
Property prices may have fallen, but last month Spain was named one of the world's most overvalued housing markets. A report in The Economist claimed Spanish homes are overvalued by more than 43%, and said this compared with just under 30% for Britain, 20% for Ireland and -12% for Germany (ie, the market in Germany is "undervalued"). It reckons home prices should reflect the rents that tenants pay, so its index calculates the ratio of prices to rents in 20 economies. Spain was the fourth most overvalued after Australia, Hong Kong and France.
But, writing on his Spanish Property Insight website, Mark Stucklin says: "You have to take these figures with a pinch of salt as far as Spain is concerned." The problem, he says, is they are based on official figures which "significantly understate the true extent to which prices have fallen. Spanish prices have fallen much further than this index suggests ... If you want to know what's going on in the residential property market, a much more revealing figure is the collapse in planning approvals, down by 90% since 2006".
(source: http://www.guardian.co.uk/money/2011/apr/02/spain-property-prices-collapse)
According to The Bank of Spain, since 2007 official house prices have:
 

Provas

Questão presente nas seguintes provas