Foram encontradas 120 questões.
A seguir, são apresentados uma figura e um gráfico. A figura ilustra uma esfera que parte de uma altura original e desliza em um plano inclinado até chocar contra uma mola, que a envia de volta na mesma direção repetidas vezes. Somente as trajetórias S1(t) e S2(t) são mostradas no gráfico. A expressão matemática apresentada na figura define a função S2(t) como um polinômio de segundo grau.

Considerando as informações apresentadas, julgue o item a seguir.
A velocidade inicial da esfera na trajetória S2 é 0,4 m/s.
Provas
Disciplina: Atualidades e Conhecimentos Gerais
Banca: CESPE / CEBRASPE
Orgão: CBM-AL
Em 21 de maio de 2021, primeiro dia de cessar-fogo na cidade de Gaza, o médico Hazem Abu Motoh aproveitou para visitar Atta Darwish, seu professor na época da faculdade.
“Fomos ao mercado Abu Dalal, comemos doces e tâmaras. Nós rimos tanto. Graças a Deus, a guerra acabou”, disse Hazem.
“Hoje (ontem), comemoramos o Eid Al-Fitr (fim do jejum do ramadã) com atraso. Vimos crianças lindas e felizes, com roupas novas. Não há mais o som de ambulâncias ou de bombas caindo”, relatou.
Internet: <www.correiobraziliense.com.br> (com adaptações).
Acerca dos mais recentes conflitos entre o governo de Israel e o grupo Hamas, julgue o item seguinte.
A respeito do conflito entre Israel e Gaza, o presidente Joe Biden prometeu ajuda na reconstrução da Faixa de Gaza, além de defender que a solução para o conflito do Oriente Médio passa pela criação de um Estado palestino.
Provas
- Direitos e Garantias FundamentaisDireitos PolíticosSufrágio, Voto, Plebiscito, Referendo e Iniciativa Popular
Com base na Constituição Federal de 1988 (CF) e no entendimento doutrinário acerca dos direitos e das garantias fundamentais, julgue o item a seguir.
Considere que um militar da ativa do Corpo de Bombeiros Militar do Estado de Alagoas, há mais de 15 anos no exercício do cargo, pretenda se candidatar a prefeito do município. Nesse caso, ele poderá ser candidato às eleições desde que se afaste das atividades a tempo de cumprir a condição de elegibilidade da filiação partidária e, se eleito, passará, automaticamente, no ato da diplomação, para a inatividade.
Provas
A respeito de ética, cidadania e direitos e humanos, julgue o item a seguir.
Para a teoria moralista, os direitos humanos são aqueles expressamente previstos na norma positiva.
Provas
O gráfico a seguir representa, em um sistema cartesiano com coordenadas expressas em quilômetros, o trajeto percorrido por uma unidade móvel do corpo de bombeiros para deslocar-se da base de operações, localizada no ponto A, para um local de acidente, localizado no ponto D.

Considerando essas informações, julgue o próximo item.
O segmento CD intercepta em um único ponto a circunferência de centro em P(14,0) e de raio igual a 2.
Provas
O gráfico a seguir, normalizado pelo número de elementos, mostra o comportamento do decaimento de certo elemento radioativo em função do tempo, em dias.

Considerando o gráfico apresentado, julgue o item a seguir.
A vida-média do elemento em questão é menor que 18 dias.
Provas
Disciplina: Atualidades e Conhecimentos Gerais
Banca: CESPE / CEBRASPE
Orgão: CBM-AL
Com relação a tópicos relevantes que envolvem o Brasil, tais como segurança, transportes, política, economia, sociedade, educação, saúde, energia, desenvolvimento sustentável e ecologia, julgue o próximo item.
A água, recurso energético abundante no mundo, é muito utilizada no Brasil para a geração de energia limpa, por possibilitar um impacto ambiental zero na análise do desenvolvimento sustentável.
Provas
How rich countries cause deforestation in poor ones
Forests are crucial to the functioning of the Earth. They provide homes for plants and animals, absorb rainfall, produce oxygen and suck up carbon dioxide, helping to keep global temperatures in check. Environmentalists are increasingly worried about their loss. Ten thousand years ago, more than half of the world’s habitable land was covered in trees; since then one third have been cut down to make way for agriculture and an ever-growing number of humans. Efforts to reverse this trend, including tree-planting programmes in America, Europe, China and India, among other places, have helped replenish some of what is left of the world’s forests.
But such gains do not tell the whole story. For all their tree-planting efforts at home, rich countries continue to contribute, through their consumption, to the levelling of vast tracts of forests in poor countries. A study, published on March 29th in Nature Ecology & Evolution, reveals the extent and location of the world’s “deforestation footprint”. Keiichiro Kanemoto and Nguyen Tien Hoang, of the Research Institute for Humanity and Nature in Japan, combined data on global forest loss with that on international trade between 2001 and 2015.
They calculated that rich-country demand for goods led overwhelmingly to deforestation outside their own borders, and mostly in tropical countries. In G7 countries, for example, the area covered by forests increased every year between 2001 and 2015. But after adjusting for trade, the authors found that these countries contributed to a net loss of 20,000 square kilometers of forest in the rest of the world in 2015 alone.
Internet: <www.economist.com> (adapted).
Based on the text above, judge the following item.
It can be inferred that the more rich countries demand goods manufactured in poor countries, the more deforestation will take place in these poor countries.
Provas
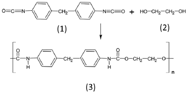
O material mais utilizado em casas noturnas brasileiras para fazer o isolamento acústico também pode transformá-las em fornos. Trata-se da espuma de poliuretano. Quando não recebe a adição de um composto químico para retardamento de combustão, a espuma é inflamável e propaga o fogo com velocidade. Mais ainda: ela tem características de isolante térmico. Assim, impede que o calor se dissipe.
Internet: <https://veja.abril.com.br> (com adaptações).
A reação a seguir mostra um exemplo típico da formação do poliuretano, em que os compostos 1 e 2 formam o poliuretano, composto 3.

Com base nas informações apresentadas, julgue os itens que se seguem, considerando que MH = 1,00 g/mol, MC = 12,00 g/mol, MN = 14,00 g/mol e MO = 16,00 g/mol.
A massa molar do composto 1 é menor que 245,0 g/mol.
Provas
O extintor comercial de pó tipo ABC abafa e resfria o local do incêndio, suprimindo os íons livres da reação em cadeia, para extinguir o fogo rapidamente. A capacidade de absorção de calor, a vaporização e a decomposição das partículas do pó seco são os principais responsáveis pela extinção. Os principais constituintes dos pós ABC são di-hidrogenofosfato de amônio — NH4H2PO4 — e sulfato de amônio — (NH4)2SO4.
A partir das informações do texto apresentado, julgue os itens a seguir, considerando que MH = 1,00 g/mol, MN = 14,00 g/mol, MO = 16,00 g/mol, MP = 31,00 g/mol e MS = 32,00 g/mol.
O número de oxidação do fósforo no di-hidrogenofosfato de amônio é uma unidade maior que o número de oxidação do enxofre no (NH4)2SO4.
Provas
Caderno Container