Foram encontradas 50 questões.
A arquitetura da rede é sua estrutura lógica
e seus princípios de operação (serviços,
funções e protocolos), havendo vários modos
de se interligar os nós ou dispositivos de uma
rede. Nesse contexto, é correto afirmar que a
figura a seguir ilustra a topologia conhecida
como


Provas
Questão presente nas seguintes provas
Qual, dentre os itens listados a seguir, é
considerado um exemplo de meio físico de
transmissão sem guia físico?
Provas
Questão presente nas seguintes provas
Ao se consultar a tabela a seguir, é correto afirmar que 10 PSI de pressão, medida no fundo de um
reservatório de água, equivalem a


Provas
Questão presente nas seguintes provas
Foi solicitado a um técnico da CASAN analisar uma determinada medição de vazão de água em uma
estação de tratamento. Analisando-se a tabela a seguir, é correto afirmar que a vazão volumétrica de 1
pé cúbico/hora é equivalente a


Provas
Questão presente nas seguintes provas
Quanto à linguagem de texto estruturado,
utilizada em linguagens de programação, é
correto afirmar que
Provas
Questão presente nas seguintes provas
No que diz respeito às definições de desenho
técnico assistido por computador, é correto
afirmar que
Provas
Questão presente nas seguintes provas
Considere o reservatório de abastecimento de água ilustrado na figura a seguir, onde se tem uma
alimentação constante de água e um escoamento livre em sua parte mais profunda. Conforme o
gráfico ilustrado, tem-se que, a partir de um instante de tempo t = t2
, houve um aumento súbito na
vazão de entrada, mantendo-se tal incremento constante após certo tempo, e um escoamento livre
em sua parte mais profunda. Tendo como saída do sistema a altura (nível) de água no reservatório, é
correto afirmar que 

Provas
Questão presente nas seguintes provas
Recentemente, a implantação do
monitoramento por telemetria da pressão
disponível na rede de distribuição de água da
CASAN proporcionou à unidade de controle
operacional uma maior eficácia na gestão
operacional do abastecimento de água.
Nesse contexto, é correto afirmar que, quanto
ao tipo de produto final,
Provas
Questão presente nas seguintes provas
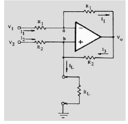
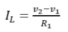
O valor da corrente IL no circuito da figura a
seguir será igual a


Provas
Questão presente nas seguintes provas
A simplificação da expressão
é igual a
é igual aProvas
Questão presente nas seguintes provas
Cadernos
Caderno Container