Foram encontradas 150 questões.
1694977
Ano: 2008
Disciplina: Atualidades e Conhecimentos Gerais
Banca: Moura Melo
Orgão: Câm. Santo André-SP
Disciplina: Atualidades e Conhecimentos Gerais
Banca: Moura Melo
Orgão: Câm. Santo André-SP
Provas:
Famoso político brasileiro foi ministro da fazenda na época da
ditadura militar implantada em 1.964 no Brasil. Seu nome:
Provas
Questão presente nas seguintes provas
1694976
Ano: 2008
Disciplina: Matemática Financeira
Banca: Moura Melo
Orgão: Câm. Santo André-SP
Disciplina: Matemática Financeira
Banca: Moura Melo
Orgão: Câm. Santo André-SP
Provas:
Um capital de R$ 12.000,00 é aplicado por 4 meses a juros compostos de 2% ao mês. Qual é o valor do juro resultante dessa aplicação? (Se quiser, pode utilizar um dos dados abaixo:

Provas
Questão presente nas seguintes provas
Com os algarismos 1, 2, 5, 6, 8, 9, deseja-se formar números de três
algarismos, não sendo permitida a repetição de algarismos em um
mesmo número. Escolhendo-se ao acaso um desses números, a
probabilidade de ele ser menor que 300 é:
Provas
Questão presente nas seguintes provas
O determinante da matriz é:

Resolvendo esse determinante, obtêm-se:
Provas
Questão presente nas seguintes provas
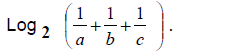
Se a, b e c são raízes da equação x³ - 2x + 1 = 0, calcule o valor de

Provas
Questão presente nas seguintes provas
Um apartamento é vendido por meio de um plano de pagamentos
mensais, em que não há entrada e o primeiro pagamento de R$
600,00 é feito um mês após a compra, o segundo de R$ 660,00 é
feito 2 meses após a compra, o terceiro de R$ 720,00 é feito três
meses após a compra e assim por diante (isto é, cada pagamento
mensal é igual ao anterior acrescido de R$ 60,00). Se o cliente
tivesse pago um total de R$ 70.800,00, qual teria sido o número de
pagamentos?
Provas
Questão presente nas seguintes provas
Qual o valor de m para que o produto (m + 2i) (3 – 2i) seja real?
Provas
Questão presente nas seguintes provas
Analise as assertivas abaixo e assinale a alternativa correta em relação à concordância:
I- Faz dez anos que não o vejo.
II- Acredito que deve haver formas para nos encontrarmos.
III- Desejo que as doações sejam realizadas o mais rápido possível.
Provas
Questão presente nas seguintes provas
1694969
Ano: 2008
Disciplina: Literatura Brasileira e Estrangeira
Banca: Moura Melo
Orgão: Câm. Santo André-SP
Disciplina: Literatura Brasileira e Estrangeira
Banca: Moura Melo
Orgão: Câm. Santo André-SP
Provas:
As obras “Memórias de um Sargento de Milícias”, “Os Sertões”
e “São Bernardo” são de autoria de:
Provas
Questão presente nas seguintes provas
Assinale a alternativa em que há ao menos uma palavra escrita
incorretamente:
Provas
Questão presente nas seguintes provas
Cadernos
Caderno Container