Foram encontradas 504 questões.
- Análise de Demonstrações ContábeisEstrutura de Capital e SolvênciaIndicadores de Endividamento e Solvência
De posse do Balanço Patrimonial e das informações complementares, responder às questões 54 a 58.


O índice de composição do endividamento é de:
Provas
- Análise de Demonstrações ContábeisEstrutura de Capital e SolvênciaIndicadores de Endividamento e Solvência
De posse do Balanço Patrimonial e das informações complementares, responder às questões 54 a 58.


O índice de participação de capitais de terceiros é de:
Provas
O total de vendas estimadas para o próximo ano é de 250.000 unidades. O estoque estimado no início do ano é de 22.500 unidades e o estoque desejado no fim do ano é de 30.000 unidades. A produção total indicada no orçamento de produção é:
Provas
A Companhia Blumenau apresenta ativo circulante de $ 80.000,00 e passivo circulante de $ 20.000,00. Seu quociente de liquidez corrente e seu capital de giro líquido são, respectivamente:
Provas
A Companhia Joinville registrou lucro líquido de $ 24.000,00; vendas líquidas de $ 400.000,00; e ativos médios de $ 600.000,00 para o ano de 2004. A margem de lucro de 2004 foi de:
Provas
Sobre as características das diversas técnicas de planejamento financeiro, é falso afirmar que:
Provas
- PODC: Processo OrganizacionalProcesso Administrativo: PlanejamentoPlanejamento Estratégico, Tático e OperacionalPlanejamento Estratégico
Um dos componentes de um plano estratégico de uma empresa refere-se à sua estratégia de competitividade. Suponha uma empresa produtora de carne de frango e derivados. Sobre as opções de estratégias competitivas desta empresa, é verdadeiro afirmar que:
Provas
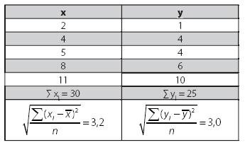
Com base nas informações abaixo, assinale a alternativa verdadeira.

Provas
Sobre os diversos aspectos que envolvem os métodos de avaliação de empresas é falso afirmar que:
Provas
O esquema oferta agregada (OA) e demanda agregada (DA) fornece uma visão do equilíbrio macroeconômico. Sobre isso é falso afi rmar que:
Provas
Caderno Container