Foram encontradas 721 questões.
Provas
Provas
Provas
Provas
Provas
De acordo com a deliberação da alta administração de uma empresa pública de transportes, o tamanho do período de payback máximo aceitável para viabilização de projetos é de 4 anos. A tabela a seguir resume propostas de projetos para terceirização de cinco áreas diferentes desta empresa. Todos os projetos têm duração de 12 meses.

As linhas 1, 2 e 3 da tabela representam:
1. Previsão de economia em despesas com a implantação por Projeto.
2. Custos estimados por Projeto com pagamentos de fornecedores e demais prestadores.
3. Custos de transição para terceirização.
Diante disso, o único projeto de terceirização que pode ser aprovado é o
Provas
Provas
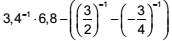
A expressão numérica
é igual a
Provas
Provas
Provas
Caderno Container