Foram encontradas 1.760 questões.
Sobre Controle de Qualidade da água para utilização na indústria farmacêutica, é incorreto afirmar que
Provas
Questão presente nas seguintes provas
Na validação da metodologia para a análise de fitoterápicos e posterior controle de qualidade, recomenda-se
I. a calibração por adição de padrão, permitindo que seja considerado o efeito de matriz complexa, na validação da metodologia de análise quantitativa.
II. qualificar sempre o extrato utilizado como padrão secundário de referência, por meio de padrões primários (substâncias isoladas) oficializados.
Com base nessas afirmações, assinale a alternativa incorreta.
Provas
Questão presente nas seguintes provas
A forma mais comum de classificação de bactérias é por meio do método de Gram, podendo ser coloração GRAM positiva (GRAM +) ou GRAM negativa (GRAM -). Os reagentes/ soluções empregados na técnica de coloração de GRAM são: agente diferenciador (etanol + acetona, por exemplo), fucsina diluída ou sassafrina, lugol (iodo + iodeto de potássio) e violeta de genciana. Assinale a alternativa que apresenta a sequência correta de uso das soluções na execução da técnica de coloração de GRAM.
Provas
Questão presente nas seguintes provas
Os comprimidos são formas farmacêuticas sólidas, contendo uma dose unitária do fármaco. Outros adjuvantes farmacêuticos são necessários para sua fabricação, como diluentes, desagregantes, lubrificantes e aglutinantes. Durante o desenvolvimento farmacotécnico de um comprimido de medicamento genérico, devem ser feitas algumas considerações. A esse respeito, assinale a alternativa correta.
Provas
Questão presente nas seguintes provas
Existem diferentes metodologias para determinação da potência de um antibiótico, sendo o ensaio microbiológico por difusão em ágar frequentemente utilizado. Para realização do teste, uma informação fundamental é saber qual o micro-organismo de ensaio para cada um dos diferentes antibióticos. Assinale a alternativa que apresenta o antibiótico para o qual o micro-organismo de ensaio é Saccharomyces cerevisiae (ATCC 2601).
Provas
Questão presente nas seguintes provas
Aminas são compostos nitrogenados, formados pela substituição de um, dois ou três hidrogênios do amoníaco por radicais alquila. Há várias rotas que podem ser aplicadas à obtenção de aminas. Observe a reação abaixo.

É correto afirmar que esta reação refere-se à seguinte rota de síntese de aminas:
Provas
Questão presente nas seguintes provas
Conforme os critérios de Controle de Qualidade (CQ) laboratorial, torna-se necessária a validação de kits para diagnóstico antes de sua comercialização. Para isso, alguns critérios estatísticos devem ser empregados nessa prática, como as curvas ROC (Receiver Operating Characteristic), que permitem quantificar a exatidão de um teste diagnóstico, já que esta é proporcional à área sob a curva (AUC), auxiliando na tomada de decisão para cada segmento laboratorial, pois reporta a sensibilidade e especificidade entre os ensaios questionados. De acordo com a figura abaixo, é correto afirmar que a(s)

Provas
Questão presente nas seguintes provas
As hemoglobinopatias são doenças raras, muitas vezes diagnosticadas de modo tardio. Dessa forma, analise a corrida eletroforética de hemoglobina representada pela figura a seguir, que reporta os cinco resultados de diferentes pacientes e, em seguida, assinale a alternativa que apresenta os seus respectivos diagnósticos.

Provas
Questão presente nas seguintes provas
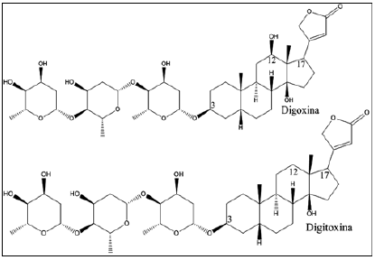
Os glicosídeos cardiotônicos são substâncias capazes de aumentar a contração do músculo cardíaco. A digoxina e a digitoxina são exemplos destes glicosídeos e são obtidas a partir das folhas da planta Digitalis lanata, popularmente conhecida como “dedaleira”. A absorção gastrointestinal da digitoxina é de 100% e possui 144h de meia-vida plasmática; por outro lado, a digoxina tem sua absorção entre 70-85% e apenas 38h de meia-vida plasmática. Com relação a essas substâncias, assinale a alternativa correta.

Provas
Questão presente nas seguintes provas
Antes dos anos 1980, o RNA era considerado apenas um intermediário de informação passiva de transporte entre o DNA e a síntese proteica. Com a descoberta das propriedades catalíticas do RNA, no início da década de 1980, um prêmio Nobel foi compartilhado entre Tom Cech e Sidney Altma. Atualmente, diversos genes supressores de tumor e oncogenes tiveram seus papéis definidos no desenvolvimento e na progressão do câncer, tornando convidativa a investigação de novos alvos terapêuticos, utilizando essas valiosas informações biotecnológicas. Entre essas descobertas, um mecanismo inovador e evolutivo chamado RNA interferente (RNAi) está revolucionando a oncologia. Ao avaliar a figura abaixo, que esquematiza os três mecanismos de silenciamento gênico via RNAi, é incorreto afirmar que

Provas
Questão presente nas seguintes provas
Cadernos
Caderno Container