Magna Concursos

Foram encontradas 390 questões.

2234244 Ano: 2008
Disciplina: Inglês (Língua Inglesa)
Banca: ANPEC
Orgão: ANPEC
Provas:
Some countries look more prone to rising inflation than others. From an analysis of wages, inflation expectations, demand and capacity pressures, and monetary growth, Mr Cates infers that Argentina, Brazil, India, Russia and the Middle East oil exporters face the biggest risks in the months ahead. Pressures seem less great in China, Mexico, South Korea and Turkey.
Clearly, monetary policy needs to be tightened. Instead, it has in effect been loosened: real interest rates are generally lower than they were a year ago. Short-term interest rates are also unusually low relative to nominal GDP growth a crude gauge of where rates should be, which implies that monetary policy is very loose (...). The broad money supply has grown by an average of 20% over the past year in emerging economies, almost three times the pace in the developed world (…). Russia's money supply has swelled by fully 42%.
Add all this up, and emerging economies bear strong similarities to rich countries in the 1970s, when the Great Inflation took off. A synchronised boom in the world economy has caused commodity prices to surge. Governments have responded with subsidies and wage and price controls. Official statistics understate price pressures. Economies are running at full pelt. Money-supply growth is soaring. Inflation expectations are not anchored and labour markets are fairly rigid, increasing the risk of a spiral in wages and prices.
According to conventional wisdom, the monetary-policy mistakes that caused the Great Inflation are much less likely today because central banks are independent of politicians. But unlike the Federal Reserve and the European Central Bank ECB, many central banks in emerging economies notably China, India and Russia are not fully independent. In another echo of the 1970s, they often face intense political pressure to hold rates low to boost growth and jobs.
According to the text:
Item 1: Middle East oil exporters are prone to rising inflation;
 

Provas

Questão presente nas seguintes provas
2234243 Ano: 2008
Disciplina: Estatística
Banca: ANPEC
Orgão: ANPEC
Provas:
Avalie se a afirmação abaixo é verdadeira ou falsa:
Item 0: Para uma amostra de tamanho fixo, ao aumentar a probabilidade de erro do tipo I aumentamos também o poder do teste
 

Provas

Questão presente nas seguintes provas
2234242 Ano: 2008
Disciplina: Inglês (Língua Inglesa)
Banca: ANPEC
Orgão: ANPEC
Provas:
Tall tales
(From The Economist print edition, May 24th 2008)
The rollercoaster, rags-to-riches story of a remarkable animation studio
PIXAR'S characters—whether the heroic toys of “Toy Story”, the father and son fish of “Finding Nemo”, the insects in “A Bug's Life” or the rat-chef of “Ratatouille”—are full of yearning; for a child to play with, a lost family member, or to become something that seems far out of reach. The small company that imagined them is just the same. Right from the beginning, Pixar, officially a computer-hardware business, secretly dreamed of a more creative life making feature films.
Ed Catmull's ambition at school had been to become an animator at Disney, but he gave up because he couldn't draw. Computer animation, he realised, having graduated in computer science and physics, could be a way to overcome this. So Mr Catmull brought together a small group of people to form a computer-graphics group, which later became Pixar. Their early attempts were uninspiring, however. Two years in the making, the 1977 film, “Tubby the Tuba”, looked bad and the story did not work. Mr Catmull and his colleagues quickly realised that fancy technology was not enough, and that story-telling was just as vital to computer animation as to the hand-drawn sort. Under John Lasseter, a young animator rejected by Disney, Pixar started to develop a new kind of cartoon, which eschewed fairy-tale plots and entertained adults as well as children.
Pixar soon drew the attention of George Lucas, director of the “Star Wars” films, and its future seemed assured. But all Mr Lucas really wanted was for the little company to make whizzy special effects for Lucasfilm's movies, not expensive computer-animated films of its own. At one point, in 1985, Pixar, losing money fast, was nearly sold to General Motors and Philips Electronics, which wanted its computer-graphics modelling tools to help design cars and transform medical scans into three-dimensional images. Even when Steve Jobs, a cofounder of Apple, came to the rescue, Pixar was still in danger. Its pretence to be a computer company was going badly: sales of the Pixar Image Computer were slow. The only significant way the company was earning money was by making cartoon advertisements to sell other companies' products.
But there was reason for hope. “Tin Toy”, a short animated film, won an Oscar in 1988, and that was enough to keep Pixar alive and, crucially, to attract the interest of Disney. Together, the two studios made “Toy Story”, which became a critical and financial success.
Several more hits followed, and Pixar astounded Hollywood with its consistency. The studio became widely revered for its creative culture and for its insistence on originality. There are few American companies with as saintly a reputation. In 2006 Disney bought Pixar for $7.4 billion, and promptly put Messrs Catmull and Lasseter in charge of Disney's own animation unit.
A number of interesting things about Disney emerge in this excellent, readable account of Pixar's early years. David Price claims, for instance, that Disney's chief executive, Michael Eisner, considered shutting down the company's animation unit after he took over as chief executive in 1984, an astonishing fact given the subsequent success of cartoon films such as “The Lion King”. Mr Price also makes clear just how much Pixar owes to Disney: it was the larger company's marketing for “Toy Story”, for instance, that gave Mr Jobs the confidence to launch an initial public offering of shares in Pixar in 2005.
Mr Price leaves Pixar and its animators in the arms of Mickey Mouse and friends, and assumes that all will be well. So far, the acquisition has undoubtedly benefited Disney. Creative types who left the animation giant in recent years are beginning to return, and morale is high at the company as Pixar prepares next month to launch its ninth feature film, “Wall-E”, about a robot in the year 2700. But will the company have the same energy in future, and what will happen when Mr Lasseter has his next “creative” spat with Disney? Pixar's life from here on, safely tucked away inside a powerful corporation, is likely to be less visible. But that does not mean it will be any less interesting.
One can infer from the text that:
Item 4: George Lucas eventually bought Pixar.
 

Provas

Questão presente nas seguintes provas
2234241 Ano: 2008
Disciplina: Matemática
Banca: ANPEC
Orgão: ANPEC
Provas:
Sejam !$ A= \begin{bmatrix} k & 0 & 0 \\ 0 & -1 & 1 \\ 1 & 1 & k \end{bmatrix} !$ e !$ B= \begin{bmatrix} k & 2 & 1 \\ 0 & -1 & 1 \\ 0 & 0 & k \end{bmatrix} !$. Julgue o item abaixo:
Item 0: tr ( A ) = -detB então k=1.
 

Provas

Questão presente nas seguintes provas
2234240 Ano: 2008
Disciplina: Estatística
Banca: ANPEC
Orgão: ANPEC
Provas:
Verifique se a afirmativa abaixo é verdadeira
Item 0: Em uma pesquisa de opinião a proporção de pessoas favoráveis a uma determinada medida governamental é dada por !$ \hat p = \sum X_i / n !$. O menor valor de n para o qual a desigualdade de Chebyshev resultará em uma garantia de que !$ P(| \hat p - p | \ge 0,01) \le 0,01 !$ é !$ 200.000 !$.
 

Provas

Questão presente nas seguintes provas
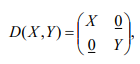
2234239 Ano: 2008
Disciplina: Matemática
Banca: ANPEC
Orgão: ANPEC
Provas:
Denote por Μn o espaço das matrizes !$ n \times n !$ com entradas !$ a_{ij} !$ ∈ R. Seja !$ D :Μ_2 ×Μ_2 → Μ_4 !$ a aplicação dada por
enunciado 2573970-1
em que 2 0∈Μ é identicamente nula. Seja A a matriz da aplicação linear !$ L : R^2 → R^2 !$ , dada por !$ L(x, y) = ( y − x, y) !$. Se !$ B = D(A, A ) !$ julgue a afirmativa:
Item 4: = A é diagonalizável.
 

Provas

Questão presente nas seguintes provas
2234238 Ano: 2008
Disciplina: Economia
Banca: ANPEC
Orgão: ANPEC
Provas:
O período entre 1946 e 1964 é considerado como uma das experiências mais ricas de crescimento econômico com democracia da história brasileira. Nesse período:
Item 2: o crescimento industrial não se restringiu ao setor de bens de consumo não-duráveis e as taxas de crescimento da agricultura foram, em média, inferiores às da indústria;
 

Provas

Questão presente nas seguintes provas
2234237 Ano: 2008
Disciplina: Inglês (Língua Inglesa)
Banca: ANPEC
Orgão: ANPEC
Provas:
Some countries look more prone to rising inflation than others. From an analysis of wages, inflation expectations, demand and capacity pressures, and monetary growth, Mr Cates infers that Argentina, Brazil, India, Russia and the Middle East oil exporters face the biggest risks in the months ahead. Pressures seem less great in China, Mexico, South Korea and Turkey.
Clearly, monetary policy needs to be tightened. Instead, it has in effect been loosened: real interest rates are generally lower than they were a year ago. Short-term interest rates are also unusually low relative to nominal GDP growth a crude gauge of where rates should be, which implies that monetary policy is very loose (...). The broad money supply has grown by an average of 20% over the past year in emerging economies, almost three times the pace in the developed world (…). Russia's money supply has swelled by fully 42%.
Add all this up, and emerging economies bear strong similarities to rich countries in the 1970s, when the Great Inflation took off. A synchronised boom in the world economy has caused commodity prices to surge. Governments have responded with subsidies and wage and price controls. Official statistics understate price pressures. Economies are running at full pelt. Money-supply growth is soaring. Inflation expectations are not anchored and labour markets are fairly rigid, increasing the risk of a spiral in wages and prices.
According to conventional wisdom, the monetary-policy mistakes that caused the Great Inflation are much less likely today because central banks are independent of politicians. But unlike the Federal Reserve and the European Central Bank ECB, many central banks in emerging economies notably China, India and Russia are not fully independent. In another echo of the 1970s, they often face intense political pressure to hold rates low to boost growth and jobs.
The text advocates:
Item 0: the loosening of monetary policy;
 

Provas

Questão presente nas seguintes provas
2234236 Ano: 2008
Disciplina: Inglês (Língua Inglesa)
Banca: ANPEC
Orgão: ANPEC
Provas:
Some countries look more prone to rising inflation than others. From an analysis of wages, inflation expectations, demand and capacity pressures, and monetary growth, Mr Cates infers that Argentina, Brazil, India, Russia and the Middle East oil exporters face the biggest risks in the months ahead. Pressures seem less great in China, Mexico, South Korea and Turkey.
Clearly, monetary policy needs to be tightened. Instead, it has in effect been loosened: real interest rates are generally lower than they were a year ago. Short-term interest rates are also unusually low relative to nominal GDP growth a crude gauge of where rates should be, which implies that monetary policy is very loose (...). The broad money supply has grown by an average of 20% over the past year in emerging economies, almost three times the pace in the developed world (…). Russia's money supply has swelled by fully 42%.
Add all this up, and emerging economies bear strong similarities to rich countries in the 1970s, when the Great Inflation took off. A synchronised boom in the world economy has caused commodity prices to surge. Governments have responded with subsidies and wage and price controls. Official statistics understate price pressures. Economies are running at full pelt. Money-supply growth is soaring. Inflation expectations are not anchored and labour markets are fairly rigid, increasing the risk of a spiral in wages and prices.
According to conventional wisdom, the monetary-policy mistakes that caused the Great Inflation are much less likely today because central banks are independent of politicians. But unlike the Federal Reserve and the European Central Bank ECB, many central banks in emerging economies notably China, India and Russia are not fully independent. In another echo of the 1970s, they often face intense political pressure to hold rates low to boost growth and jobs.
The text advocates:
Item 2: the growth of broad money supply;
 

Provas

Questão presente nas seguintes provas
2234235 Ano: 2008
Disciplina: Economia
Banca: ANPEC
Orgão: ANPEC
Provas:
Considerando-se a política econômica da Primeira República (1889-1930), pode-se afirmar que:
Item 4: a criação da Caixa de Conversão, na primeira década do século XX, significou a adoção de taxa de câmbio fixa, com emissões assentadas na conversibilidade em ouro.
 

Provas

Questão presente nas seguintes provas