Magna Concursos

Foram encontradas 2.300 questões.

1272312 Ano: 2010
Disciplina: Engenharia de Automação
Banca: CESPE / CEBRASPE
Orgão: ABIN

Estima-se, atualmente, que mais de 90% das malhas de controle utilizadas em processos industriais operem com controladores proporcional-integral-derivativo (PID). Acerca de controlador PID, julgue os itens a seguir.

A função de transferência de um controlador PID pode ser representada por Enunciado 1272312-1 em que K é o ganho do controlador, Ta e Tb são as constantes de tempo integral e derivativo, respectivamente, e p é um polo para limitação de ganho em altas frequências.
 

Provas

Questão presente nas seguintes provas
1272311 Ano: 2010
Disciplina: Engenharia de Automação
Banca: CESPE / CEBRASPE
Orgão: ABIN

Estima-se, atualmente, que mais de 90% das malhas de controle utilizadas em processos industriais operem com controladores proporcional-integral-derivativo (PID). Acerca de controlador PID, julgue os itens a seguir.

O uso de controlador PID é adequado para eliminar erros de regime permanente (ação derivativa), antecipar o comportamento do processo (ação integral) e reagir ao erro presente, conferindo ao sistema de controle uma reação rápida à ação de perturbações ou variações de referência de magnitudes significativas (ação proporcional).

 

Provas

Questão presente nas seguintes provas
1272310 Ano: 2010
Disciplina: Engenharia de Automação
Banca: CESPE / CEBRASPE
Orgão: ABIN

Estima-se, atualmente, que mais de 90% das malhas de controle utilizadas em processos industriais operem com controladores proporcional-integral-derivativo (PID). Acerca de controlador PID, julgue os itens a seguir.

Uma possível implementação de um controlador PID pode ser corretamente realizada pelo circuito mostrado na figura abaixo, utilizando-se amplificadores operacionais, resistores, potenciômetros e capacitores. O ganho, a constante de tempo integral, a constante de tempo derivativo e o polo para eliminação de ganho em altas frequências são ajustados como

Enunciado 1272310-1

 

Provas

Questão presente nas seguintes provas
1272309 Ano: 2010
Disciplina: Engenharia Eletrônica
Banca: CESPE / CEBRASPE
Orgão: ABIN

Enunciado 1272309-1

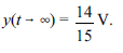
O diagrama de bloco mostrado na figura acima ilustra a entrada X(s) e a saída Y(s) de um sistema dinâmico, cuja função de transferência é H(s). Considere que, à entrada do sistema, seja aplicado um impulso unitário X(s) = 1, sendo então observada a resposta Y(s) resultante. Considere, ainda, que a transformada de Laplace Y(s) do sinal observado nos terminais de saída possua zeros z1 = –2 e z2 = –1, e polos p1 = 0, p2 = –2, p3 = –2 e p4 = –5, e que Y(s) represente uma tensão e Y(2) = 0,5 V. Com base nessas considerações, julgue os seguintes itens.

Em regime permanente, a amplitude do sinal de saída é dada por Enunciado 1272309-2

 

Provas

Questão presente nas seguintes provas
1272308 Ano: 2010
Disciplina: Engenharia Eletrônica
Banca: CESPE / CEBRASPE
Orgão: ABIN

Enunciado 1272308-1

O diagrama de bloco mostrado na figura acima ilustra a entrada X(s) e a saída Y(s) de um sistema dinâmico, cuja função de transferência é H(s). Considere que, à entrada do sistema, seja aplicado um impulso unitário X(s) = 1, sendo então observada a resposta Y(s) resultante. Considere, ainda, que a transformada de Laplace Y(s) do sinal observado nos terminais de saída possua zeros z1 = –2 e z2 = –1, e polos p1 = 0, p2 = –2, p3 = –2 e p4 = –5, e que Y(s) represente uma tensão e Y(2) = 0,5 V. Com base nessas considerações, julgue os seguintes itens.

A função de transferência do sistema é determinada pela relação Enunciado 1272308-2 , em que s é a ( ) ( ) s ss frequência complexa.

 

Provas

Questão presente nas seguintes provas
1272307 Ano: 2010
Disciplina: Engenharia Eletrônica
Banca: CESPE / CEBRASPE
Orgão: ABIN

Enunciado 1272307-1

O diagrama de bloco mostrado na figura acima ilustra a entrada X(s) e a saída Y(s) de um sistema dinâmico, cuja função de transferência é H(s). Considere que, à entrada do sistema, seja aplicado um impulso unitário X(s) = 1, sendo então observada a resposta Y(s) resultante. Considere, ainda, que a transformada de Laplace Y(s) do sinal observado nos terminais de saída possua zeros z1 = –2 e z2 = –1, e polos p1 = 0, p2 = –2, p3 = –2 e p4 = –5, e que Y(s) represente uma tensão e Y(2) = 0,5 V. Com base nessas considerações, julgue os seguintes itens.

O sinal de saída é limitado para operação que requeira sinal de entrada em corrente contínua.

 

Provas

Questão presente nas seguintes provas
1272306 Ano: 2010
Disciplina: Engenharia Elétrica
Banca: CESPE / CEBRASPE
Orgão: ABIN

Acerca de materiais condutores para utilização em instalações elétricas residenciais e em circuitos para transmissão e distribuição de energia elétrica, julgue os itens que se seguem.

O cobre é menos suscetível à corrosão que o alumínio. Esta é uma das razões que justifica o seu uso em cabos de linhas aéreas em regiões costeiras.

 

Provas

Questão presente nas seguintes provas
1272304 Ano: 2010
Disciplina: Engenharia Eletrônica
Banca: CESPE / CEBRASPE
Orgão: ABIN

Enunciado 1272351-1

A figura acima apresenta um circuito que permite a conversão CA-CC de tensão por meio de uma ponte de tiristores SCR (T1 a T6). A conversão é necessária para alimentação de uma carga em corrente contínua a partir de uma fonte de alimentação CA trifásica. Com base nessas informações, julgue os itens subsequentes.

Considerando vL(t) a tensão instantânea sobre a carga, é correto afirmar que a tensão média nessa carga pode assumir valores positivos ou valores negativos, de acordo com o ângulo de disparo dos tiristores.

 

Provas

Questão presente nas seguintes provas
1272303 Ano: 2010
Disciplina: Engenharia Eletrônica
Banca: CESPE / CEBRASPE
Orgão: ABIN

Enunciado 1272303-1

Julgue os itens subsequentes, relativos ao circuito mostrado na figura acima, que é constituído da interconexão de um gerador de corrente alternada, com tensão vS(t), de amplitude 20 VRMS, frequência 1 kHz e fase 25º, e de três elementos de impedância Z1, Z2 e Z3. Para seu julgamento, considere que as amplitudes e fases das três impedâncias sejam, respectivamente, iguais a 10 Enunciado 1272303-2 e 90º, 20 Enunciado 1272303-3 e 0º, e 20 Enunciado 1272303-4 e 270º.

As amplitudes pico-a-pico e as fases da corrente i(t) e da tensão v(t) em regime permanente senoidal são, respectivamente, iguais a 4 Enunciado 1272303-5 e 25º, e 80 V e -20º.

 

Provas

Questão presente nas seguintes provas
1272302 Ano: 2010
Disciplina: Engenharia Eletrônica
Banca: CESPE / CEBRASPE
Orgão: ABIN

Enunciado 1272302-1

Julgue os itens subsequentes, relativos ao circuito mostrado na figura acima, que é constituído da interconexão de um gerador de corrente alternada, com tensão vS(t), de amplitude 20 VRMS, frequência 1 kHz e fase 25º, e de três elementos de impedância Z1, Z2 e Z3. Para seu julgamento, considere que as amplitudes e fases das três impedâncias sejam, respectivamente, iguais a 10 Enunciado 1272302-2 e 90º, 20 Enunciado 1272302-3 e 0º, e 20 Enunciado 1272302-4 e 270º.

A impedância equivalente do circuito vista a partir dos terminais do gerador CA é de natureza puramente resistiva, apresentando valor igual a 10 Enunciado 1272302-5.

 

Provas

Questão presente nas seguintes provas