Foram encontradas 35.936 questões.
As curvas de solubilidade são diagramas que indicam a variação dos coeficientes de solubilidade das substâncias em função da temperatura. As curvas de solubilidade têm grande importância no estudo das soluções de sólidos em líquidos, pois nesse caso a temperatura é o único fator físico que influi perceptivelmente na solubilidade. Estudos da curva de solubilidade de diversas substâncias são realizados pela indústria farmacêutica, para prever o comportamento dos medicamentos no organismo. A seguir são dadas as curvas de solubilidade de quatro sais inorgânicos em função da temperatura.

A 50ºC, uma solução aquosa saturada de um sal inorgânico revelou conter cerca de 128,4 g do sal para 85,6 g de água. Nesse caso, pode-se afirmar que o sal é o:
Provas
A tinta refletiva para sinalização é um produto recomendado para espaços como rodovias, estradas, estacionamentos e para demais espaços onde são necessárias sinalizações para o trânsito. Esse produto, que permite visualização diurna e noturna, proporciona maior segurança e auxilia na diminuição dos riscos de acidente. Essas tintas são conhecidas como tintas fosforescentes. O modelo atômico que melhor explica o fenômeno que ocorre com as tintas usadas em placas de sinalização de rodovias é o de:
Provas
A primeira comercialização de H2O2 data de 1800, e sua produção mundial aumenta a cada ano. Acredita-se que o peróxido de hidrogênio, na forma isolada ou combinada, seja um dos reagentes mais empregados em diversas aplicações. Certamente, a sua utilização deve ser conduzida com segurança e responsabilidade, para se evitar risco de queimas e explosões. O entendimento das propriedades do peróxido de hidrogênio é de grande importância para a manipulação segura deste reagente.
Considerando a reação descrita abaixo, a soma dos menores coeficientes inteiros, após o balanceamento da reação é:
H2O2(aq) + KMnO4(aq) + H2SO4(aq) → K2SO4(aq) + MnSO4(aq) + H2O(l) + O2(g)
Provas
Um forno aceso em um fogão doméstico por uma hora tem seu consumo variável, dependendo do fabricante e modelo. Mas, em média, o gasto para um fogo médio equivale a 0,225 kg de gás. Um fogão alimentado por gás natural, formado exclusivamente pelo gás metano, terá ao final de uma hora liberado, aproximadamente, uma quantidade de energia, em kJ, igual a:
Reação de combustão do metano:
CH4(g) + 2 O2(g) → CO2(g) + H2O(g) ΔH = - 890,4 kJ/mol
Provas
Existe uma medida do teor máximo de resíduo de um agrotóxico nos alimentos, considerado seguro, e ela varia de acordo com as leis vigentes de cada país. Em 2015, a Agência Internacional de Pesquisa para o Câncer, associada à OMS, classificou o agrotóxico glifosato (I) como “provavelmente cancerígeno” para humanos. No Brasil, o limite máximo de resíduo para o agrotóxico glifosato é de 10,00 mg/kg enquanto na União Europeia esse valor está bem abaixo, sendo igual a 0,005 mg/kg. (Dados em g/mol: C=12, H=1, O=16, N=14, P=31)

Uma amostra de 1 t de trigo estocada em um armazém, no sul do Brasil, apresentou 0,1 mol de glifosato. De acordo com os dados apresentados, percebe-se que o valor encontrado foge ao que é permitido no Brasil, e o número de vezes que é superior pode ser representado por:
Provas
Com descoberta datada de 1836, o acetileno é a matéria-prima na fabricação de solventes industriais, plásticos de borracha sintética, explosivos, além de síntese de compostos orgânicos. A produção industrial do acetileno está representada, abaixo, em três etapas, a iniciar pela decomposição da calcita, conforme as equações:

Partindo de uma amostra de 1260,0 g da calcita, com 12% de impurezas e um rendimento de 94%, o volume de acetileno produzido nas CNTP é: (Dado, em g/mol: Ca = 40, C = 12, O = 16)
Provas
Os alvejantes, também conhecidos como branqueadores, são substâncias usadas para eliminar cores e manchas indesejáveis ou deixar mais brancos tecidos ou outros materiais.
Alvejantes podem existir tanto na forma líquida (solução aquosa de NaClO), como na forma sólida, Ca (ClO) em pó. Além do 2 uso em roupas, os alvejantes podem ser usados para o tratamento do papel e para clarear cabelos.
Um dos processos para restaurar a coloração branca das roupas é apresentado a seguir:
PbS(s) + H2O2(aq) → PbSO4(s) + H2O(l)
Em relação à equação descrita, pode-se afirmar que o elemento:
Provas
Historicamente, a síntese orgânica tem se desenvolvido de acordo com as necessidades e a curiosidade humana. Dentre os descobrimentos que marcaram época e que podem ser considerados como fundamentais no desenvolvimento da Química Orgânica, destacam-se as sínteses da ureia por Frederich Wöhler em 1828. O feito de Wöhler marca não somente o fim da teoria da força vital, como também o nascimento da Química Orgânica Sintética como ramo da Química Orgânica.
CORREIA, C. R. D.; COSTA, P. R. R.; FERREIRA, Vitor F. Vinte e cinco anos de reações, estratégias e metodologias em Química Orgânica. Química Nova, São Paulo, v. 25, supl. 1, p. 74-81, 2002.
Com base no conhecimento acumulado sobre reações orgânicas, as substâncias representadas pelas letras A, B e C são, respectivamente:

Provas
Explosão em Beirute: o que se sabe e o que falta saber.
Incidente ocorrido na terça-feira em um depósito de nitrato de amônio na área portuária da capital do Líbano deixou mais de 100 mortos e 4 mil feridos, segundo o governo local. Não há informação sobre a causa.
Disponível em: https://g1.globo.com/mundo/noticia/ 2020/08/04/explosao-em-beirute-o-que-sabe-e-o-que-faltasaber. ghtml. Acessado em 23 de março de 2021.
Em relação ao nitrato de amônio e seu comportamento, é correto afirmar que se trata de um sal:
Provas
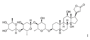
A digoxina (I), um glicosídeo cardiotônico, pode ser usada no tratamento de insuficiência cardíaca e de taquicardia, embora a sua indicação seja ainda muito controversa.

A fórmula molecular da digoxina pode ser representada corretamente por:
Provas
Caderno Container