Foram encontradas 13.249 questões.
Colorímetro é um aparato, utilizado em Química, que mede a absorbância da luz visível que passa por uma solução. Pode-se afirmar corretamente sobre o colorímetro, que ele:
Provas
Questão presente nas seguintes provas
No método McCabe -Thiele gráfico, a condição de vazão molar constante transforma em linhas retas as equações de balanços molares efetuados para cada seção da coluna. Para tornar possível essa transformação, o método se baseia em determinadas hipóteses simplificadoras, dentre as quais NÃO se inclui a hipótese de que
Provas
Questão presente nas seguintes provas
Um íon metálico foi titulado três vezes com EDTA. Um mesmo fator foi alterado antes de cada titulação. Observe as curvas resultantes dessa experiência.
Curva de Titulação pM x V (EDTA)
pm

O fator alterado, que provocou diferentes curvas de titulação, é:
Provas
Questão presente nas seguintes provas
Assinale a afirmativa INCORRETA em relação ao projeto e ao desempenho de ciclones.
Provas
Questão presente nas seguintes provas
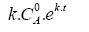
Uma reação de isomerização de A em B segue uma reação de primeira ordem com velocidade específica k. Assinale a alternativa que contém a expressão da taxa de geração de B no interior de um reator batelada a partir de uma solução isenta de B e cuja concentração de A é dada por 

Provas
Questão presente nas seguintes provas
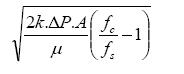
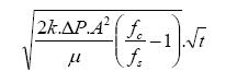
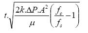
Considere a filtração em filtro prensa de uma suspensão cuja fração volumétrica de sólidos é "fs". Se "k" é a permeabilidade da torta formada,
é a queda de pressão no equipamento (mantida constante), "fc" é a fração volumétrica de sólidos na torta,
é a viscosidade do fluido e "A" é a área da seção reta do filtro. Assinale a alternativa que contém a expressão correta para o volume de filtrado em função do tempo "t".
é a queda de pressão no equipamento (mantida constante), "fc" é a fração volumétrica de sólidos na torta,
é a viscosidade do fluido e "A" é a área da seção reta do filtro. Assinale a alternativa que contém a expressão correta para o volume de filtrado em função do tempo "t".Provas
Questão presente nas seguintes provas
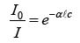
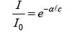
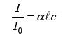
Um equipamento muito empregado em análises de água é o espectrofotômetro (representado em forma simplificada na figura a seguir). Em muitas situações práticas, considera-se válida - para o uso em espectrofotometria - uma lei empírica conhecida como Lei de Lambert-Beer. Sendo
a radiação incidente, I a radiação transmitida, c a concentração do material em estudo,
o caminho percorrido no interior da solução e
a absortividade da substância, assinale a alternativa que apresenta corretamente a expressão da Lei de Lambert-Beer.

a radiação incidente, I a radiação transmitida, c a concentração do material em estudo,
o caminho percorrido no interior da solução e
a absortividade da substância, assinale a alternativa que apresenta corretamente a expressão da Lei de Lambert-Beer.
Provas
Questão presente nas seguintes provas
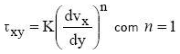
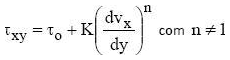
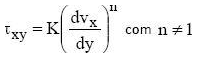
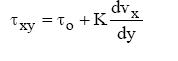
O modelo que descreve o comportamento reológico de um fluido de Bingham é dado por (onde
é a tensão de cisalhamento,
é o gradiente de velocidade e
são parâmetros empíricos)
é a tensão de cisalhamento,
é o gradiente de velocidade e
são parâmetros empíricos)Provas
Questão presente nas seguintes provas
Uma mistura binária é formada pelos componentes A e B. A uma certa temperatura T, a pressão de saturação de A puro é
bar e a pressão de saturação de B puro é
bar. Se a fração molar do componente A na fase líquida é 0,7, assinale a alternativa que representa corretamente a pressão de ponto de bolha e a fração molar de A na fase vapor, respectivamente.
Considere fase líquida solução ideal e fase vapor gás ideal.
bar e a pressão de saturação de B puro é
bar. Se a fração molar do componente A na fase líquida é 0,7, assinale a alternativa que representa corretamente a pressão de ponto de bolha e a fração molar de A na fase vapor, respectivamente.Considere fase líquida solução ideal e fase vapor gás ideal.
Provas
Questão presente nas seguintes provas
Assinale a alternativa correta.
Provas
Questão presente nas seguintes provas
Cadernos
Caderno Container