Foram encontradas 20.456 questões.
Provas
Provas
Provas
A palavra que completa adequadamente a lacuna é:
Provas
Provas

Provas
Provas
A figura a seguir apresenta três curvas que correspondem às respostas de três funções de transferência. Relacione essas curvas com o fator de amortecimento ξ:

fator de amortecimento ξ:
( ) 0 < ξ < 1
( ) ξ < 1
( ) ξ = 1
Assinale a alternativa que mostra a relação correta, de cima para baixo:
Provas
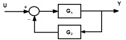
A figura a seguir apresenta um sistema de controle representado pelo diagrama de blocos.

Esse sistema pode ser substituído por uma única função de transferência, conforme
Provas
O barramento de computadores é um caminho que elétrico de comunicação entre os diversos dispositivos.
A respeito do barramento, analise as afirmativas a seguir:
I. A largura do barramento de endereços determina a capacidade máxima da memória do sistema.
II. O barramento de controle transporta sinais de controle e temporização a todas as unidades do sistema.
III. O barramento multiplexado tem um melhor desempenho que o barramento dedicado.
Assinale:
Provas
Caderno Container