Foram encontradas 20.559 questões.
Os filtros elétricos foram criados em 1915 por George Campbell e K. W. Wagner na Alemanha, utilizando resistores, indutores e capacitores. A variação da frequência no sistema elétrico provoca um comportamento distinto em tais elementos, sendo a base de seu funcionamento.
Em relação a esse conceito, podemos afirmar que o circuito do filtro representado nas figuras abaixo (figura 4 e figura 5) é:

FIGURA 4
Resposta em Frequência em Vo (Magnitude)

FIGURA 5
Provas
Questão presente nas seguintes provas
Em um circuito RLC série em corrente alternada podemos AFIRMAR que:
Provas
Questão presente nas seguintes provas
Varistor é um diodo utilizado em:
Provas
Questão presente nas seguintes provas
Qual a carga, em micro Coulomb !$ \mathsf{(\mu C)} !$ acumulada no capacitor do circuito dado (figura 13), depois de estabelecido o regime estacionário?

FIGURA 13
Provas
Questão presente nas seguintes provas
A inclusão de um computador digital no controle de um sistema analógico produz sinais em forma digital. Uma implementação deste tipo requer conversores digital-analógico e analógico-digital.
Sobre aplicações deste tipo é correto afirmar que
Provas
Questão presente nas seguintes provas
Sobre a estabilidade de um sistema linear, conclui-se que o sistema é estável se
Provas
Questão presente nas seguintes provas
No circuito dado na figura 14, as lâmpadas apagadas são:

FIGURA 14
Provas
Questão presente nas seguintes provas
Em relação a eletrônica a sigla SMD significa:
Provas
Questão presente nas seguintes provas
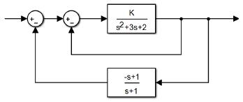
Considere o sistema realimentado abaixo:

Para que valores de K o sistema é estável?
Provas
Questão presente nas seguintes provas
O circuito a seguir (figura 14) mostra um Amplificador Operacional cuja equação característica é: V0 = A.[(V+) – (V-)] onde A é o ganho.
Calcule V0 para um ganho de 100.000 e assinale a alternativa correta:

Figura 14
Provas
Questão presente nas seguintes provas
Cadernos
Caderno Container