Foram encontradas 773 questões.
Disciplina: Engenharia de Automação
Banca: CESGRANRIO
Orgão: Eletronuclear

Provas
Disciplina: Engenharia de Automação
Banca: CESGRANRIO
Orgão: Eletronuclear

Provas
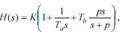
Estima-se, atualmente, que mais de 90% das malhas de controle utilizadas em processos industriais operem com controladores proporcional-integral-derivativo (PID). Acerca de controlador PID, julgue os itens a seguir.
em que K é o ganho do controlador, Ta e Tb são as constantes de tempo integral e derivativo, respectivamente, e p é um polo para limitação de ganho em altas frequências.Provas
Estima-se, atualmente, que mais de 90% das malhas de controle utilizadas em processos industriais operem com controladores proporcional-integral-derivativo (PID). Acerca de controlador PID, julgue os itens a seguir.
O uso de controlador PID é adequado para eliminar erros de regime permanente (ação derivativa), antecipar o comportamento do processo (ação integral) e reagir ao erro presente, conferindo ao sistema de controle uma reação rápida à ação de perturbações ou variações de referência de magnitudes significativas (ação proporcional).
Provas
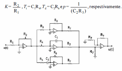
Estima-se, atualmente, que mais de 90% das malhas de controle utilizadas em processos industriais operem com controladores proporcional-integral-derivativo (PID). Acerca de controlador PID, julgue os itens a seguir.
Uma possível implementação de um controlador PID pode ser corretamente realizada pelo circuito mostrado na figura abaixo, utilizando-se amplificadores operacionais, resistores, potenciômetros e capacitores. O ganho, a constante de tempo integral, a constante de tempo derivativo e o polo para eliminação de ganho em altas frequências são ajustados como

Provas
Com relação a sistemas lineares contínuos com entrada x(t) e saída y(t), julgue o item abaixo.
Considerando que a, b e k sejam constates, o sistema descrito pela equação diferencial
é linear.
Provas
A alternativa que apresenta a sintaxe de programação CNC correta é:
Provas
A máquinas que normalmente tem fabricação especial (não seriada) é a:
Provas
As máquinas de levantamento, possuem emprego específicos, em função de vários fatores. A máquina que trabalha com maiores cargas tem a seguinte denominação:
Provas
Julgue os itens a seguir, relativos a controle de processos e sistema supervisório.
Sistemas supervisórios distribuídos, como os sistemas SCADA, possuem uma interface gráfica para monitoramento, geração de alarmes e verificação de tendências em automação industrial. No projeto de um sistema SCADA, as restrições de tempo de resposta do sistema supervisório — que variam de 1 ms a 1 s para as tarefas críticas — e as exigências de redundância são importantes aspectos de projeto.
Provas
Caderno Container