Foram encontradas 773 questões.

As funções do Matlab f1 e f2 definidas acima implementam um algoritmo de busca depth-first num grafo com n vértices, numerados de 1 até n, e com arestas definidas pelas colunas da matriz a. Ao se executar f1 com entradas n = 5 e a = [1 1 3 3; 3 2 5 4], o vetor d resultante é
Provas
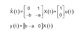
Um sistema de 2a ordem, linear e invariante no tempo, com entrada u(t) e saída y(t), é representado pelo modelo em espaço de estado, com as seguintes equações:

Sabendo-se que os polos desse sistema estão localizados nas seguintes posições do plano
e
, os valores de a e b, respectivamente, são
Provas
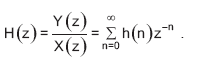
Um sistema discreto e causal, tendo x(n) como sinal de entrada e y(n) como sinal de saída, apresenta, como resposta ao impulso, a expressão ![]()
A função de transferência desse sistema é obtida pela transformada Z de h(n), dada pela expressão

O(s) polo(s) desse sistema no plano complexo Z é(são)
Provas
Considere o modelo de um sistema linear dado pela seguinte representação em espaço de estado:
\( \dot {X} (t) \, = \, \begin {bmatrix} -11 \,\,\,\,\,\,\, -60 \\ 1 \,\,\,\,\,\,\,\,\,\, 5 \end {bmatrix} \, X (t) \, + \, \begin {bmatrix} 1 \\ 0 \end {bmatrix} u (t) \, y(t) \, = \, [1 \,\, 15]X (t) \)
Os polos deste sistema são:
Provas

Considere o sistema de controle em malha fechada ilustrado na figura acima, onde K > 0 representa o ganho a ser ajustado no compensador. Pelo compensador adotado e levando-se em conta o diagrama do lugar das raízes (root locus) desse sistema, conclui-se que o sistema será
Provas
Disciplina: Engenharia de Automação
Banca: CESPE / CEBRASPE
Orgão: UNIPAMPA
A interface homem-máquina (IHM) pode ser interpretada como o dispositivo que permite o enlace entre o usuário e os programas de supervisão e controle que compõem um sistema de automação industrial. A respeito desse assunto, julgue os itens subsequentes.
O instrumento de IHM pode ser ligado a um único CLP ou a um conjunto de CLPs que opere em rede.
Provas
Disciplina: Engenharia de Automação
Banca: CESPE / CEBRASPE
Orgão: UNIPAMPA
A interface homem-máquina (IHM) pode ser interpretada como o dispositivo que permite o enlace entre o usuário e os programas de supervisão e controle que compõem um sistema de automação industrial. A respeito desse assunto, julgue os itens subsequentes.
Monitores de vídeo, painéis numéricos e teclados são exemplos de IHM.
Provas
Disciplina: Engenharia de Automação
Banca: CESPE / CEBRASPE
Orgão: CEHAP-PB
O acionamento de determinado motor de indução em gaiola, alimentado a três fases e um neutro, seja realizado por meio de um circuito de controle adequadamente projetado, e que, no circuito de força do motor, existam componentes como condutores de fase, de neutro, fio de aterramento, fusíveis, disjuntores, contactor, réles térmicos etc, a energização do circuito de força desse motor por meio do circuito de controle será possível comandando-se, eletronicamente,
Provas
Disciplina: Engenharia de Automação
Banca: CESPE / CEBRASPE
Orgão: CEHAP-PB
Considerando que se deseje projetar um controlador de tensão CA que converta a tensão de uma fonte de tensão fixa em uma tensão variável, com o objetivo de controlar a velocidade de motores utilizados em uma dada aplicação, e que o modo de controle deva ser realizado por meio de uma chave bidirecional, esta poderá ser implementada eletronicamente por um
Provas
A respeito de sistemas de automação predial, assinale a opção correta.
Provas
Caderno Container