Foram encontradas 773 questões.
Um sinal v(t) é expresso, no domínio de Laplace, por

No domínio do tempo, quando t tende para infinito, o sinal v(t) tende para um valor estacionário, constante e igual a
No domínio do tempo, quando t tende para infinito, o sinal v(t) tende para um valor estacionário, constante e igual a
Provas
Questão presente nas seguintes provas

A estrutura de dados representada pelo diagrama da figura acima é denominada
Provas
Questão presente nas seguintes provas
A estrutura de um sistema SCADA (Supervisory Control and Data Acquisition) é constituída por, dentre outros elementos, computadores desktop, CLPs, sensores e atuadores. Cada elemento pertence a um nível na hierarquia dos sistemas de automação, sendo que os mencionados anteriormente são enquadrados nos níveis 3 (computador desktop), nível 2 (CLPs) e nível 1 (sensores e atuadores), onde o nível 1 é o de menos inteligência.
Associe os elementos com as suas funções em um sistema SCADA, apresentados a seguir.

As associações corretas são:
Associe os elementos com as suas funções em um sistema SCADA, apresentados a seguir.

As associações corretas são:
Provas
Questão presente nas seguintes provas

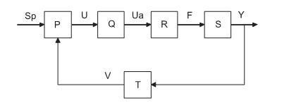
A figura acima mostra uma malha de controle típica em uma planta automatizada onde se necessita controlar uma variável do processo. Os elementos, representados pelos blocos, são: Planta (processo a ser controlado), Atuador, Sensor, CLP e driver de potência.
Os sinais presentes são assim descritos:
- Y é a variável a ser controlada;
- Sp é um sinal elétrico de referência que representa o valor desejado para Y;
- V é uma tensão elétrica proporcional a Y;
- U é um sinal elétrico de referência em função do erro entre Sp e V;
- Ua é o sinal U amplificado para compatibilizar a potência entre Q e R;
- F é uma grandeza física.
Os blocos, representados pelas letras P, Q, R, S, T da figura, são os elementos do sistema citados acima. O CLP é o elemento representado pela letra
Provas
Questão presente nas seguintes provas

O trecho de um código implementado em Linguagem Ladder, mostrado no diagrama da figura acima, pode ser reescrito em outra linguagem para Controladores Lógicos Programáveis (CLP), conhecida por Texto Estruturado, com a expressão
Provas
Questão presente nas seguintes provas

A tabela verdade acima apresenta o resultado das combinações lógicas das variáveis de entrada da função booleana X = f(K,P,Q,R).
A expressão minimizada da função X é
Provas
Questão presente nas seguintes provas

O circuito da figura acima mostra um diodo Zener com tensão nominal de 6 V, alimentado por uma fonte de tensão contínua. Se a corrente elétrica que atravessa o diodo Zener é 0,3 A, a tensão Vf da fonte, em volts, é
Provas
Questão presente nas seguintes provas

O pulso retangular da Figura 1 tem seu espectro de frequência, em módulo, mostrado na Figura 2. Com base nos dados mostrados na figura, o valor de μ, em segundos, é
Provas
Questão presente nas seguintes provas

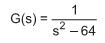
Considere o sistema de controle configurado na figura acima, onde a planta G(s) é INSTÁVEL, e deseja-se estabilizá-la e controlá-la com ajuda de um compensador do tipo H(s). Usa-se a técnica de cancelamento de polos da planta para reduzir a ordem do sistema. O engenheiro projetista achou, em seu cálculo, o ganho K = 125. Assim, os polos do sistema em malha fechada estarão posicionados em
Provas
Questão presente nas seguintes provas
A função de transferência no domínio de Laplace de um sistema linear é dada por
onde Y(s) é a variável de saída e R(s), a variável de entrada. Nos três itens a seguir, considere as condições iniciais NULAS.
O valor inicial, em t = 0, do sinal de saída desse sistema, quando se aplica um impulso unitário na entrada, é
Provas
Questão presente nas seguintes provas
Cadernos
Caderno Container